Официальное опубликование правовых актов
ОФИЦИАЛЬНОЕ ОПУБЛИКОВАНИЕ
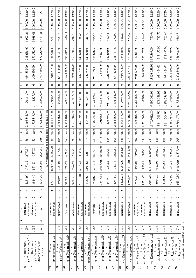
Постановление Правительства Пензенской области от 03.02.2015 № 28-пП
"О внесении изменений в областную адресную программу "Капитальный ремонт многоквартирных домов на территории Пензенской области в 2012 году", утвержденную постановлением Правительства Пензенской области от 24.02.2012 № 115-пП (с последующими изменениями)"
Номер опубликования: 5800201502060009
Дата опубликования: 06.02.2015
Страница №8 из 22:
Увеличить