Официальное опубликование правовых актов
ОФИЦИАЛЬНОЕ ОПУБЛИКОВАНИЕ
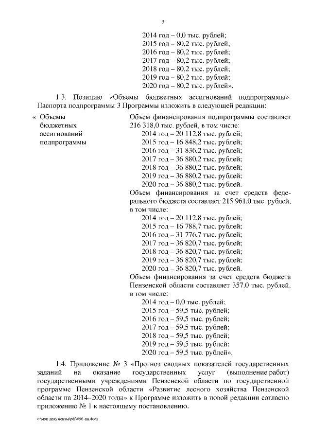
Постановление Правительства Пензенской области от 26.11.2015 № 656-пП
"О внесении изменений в государственную программу Пензенской области "Развитие лесного хозяйства Пензенской области на 2014–2020 годы", утвержденную постановлением Правительства Пензенской области от 11.10.2013 № 760-пП (с последующими изменениями)"
Номер опубликования: 5800201512020040
Дата опубликования: 02.12.2015
Страница №3 из 41:
Увеличить