Официальное опубликование правовых актов
ОФИЦИАЛЬНОЕ ОПУБЛИКОВАНИЕ
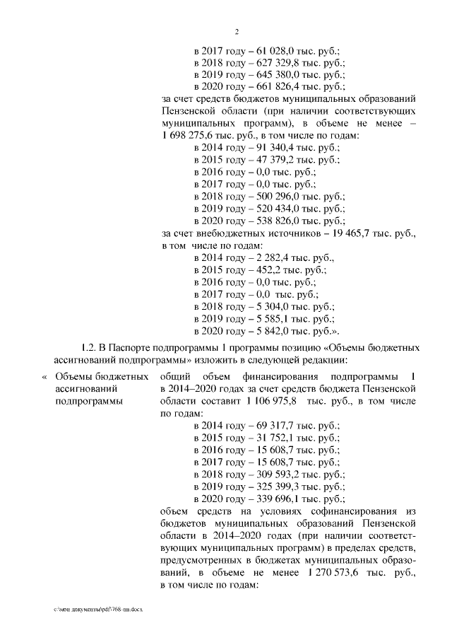
Постановление Правительства Пензенской области от 30.12.2015 № 768-пП
"О внесении изменений в государственную программу Пензенской области "Обеспечение жильем и коммунальными услугами населения Пензенской области на 2014–2020 годы", утвержденную постановлением Правительства Пензенской области от 01.11.2013 № 811-пП (с последующими изменениями)"
Номер опубликования: 5800201601040018
Дата опубликования: 04.01.2016
Страница №2 из 34:
Увеличить