Официальное опубликование правовых актов
ОФИЦИАЛЬНОЕ ОПУБЛИКОВАНИЕ
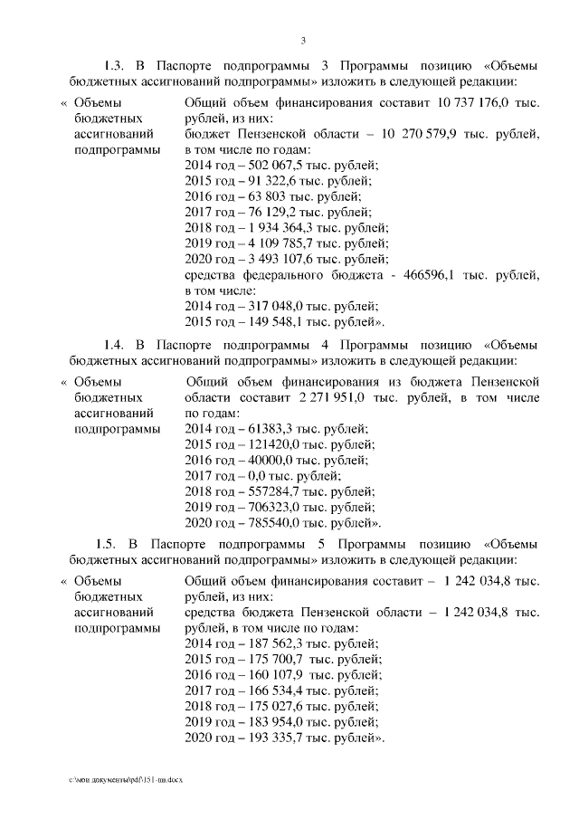
Постановление Правительства Пензенской области от 21.03.2016 № 151-пП
"О внесении изменений в государственную программу Пензенской области "Развитие территорий, социальной и инженерной инфраструктуры, обеспечение транспортных услуг в Пензенской области на 2014–2020 годы", утвержденную постановлением Правительства Пензенской области от 26.09.2013 № 724-пП (с последующими изменениями)"
Номер опубликования: 5800201603240002
Дата опубликования: 24.03.2016
Страница №3 из 102:
Увеличить