Официальное опубликование правовых актов
ОФИЦИАЛЬНОЕ ОПУБЛИКОВАНИЕ
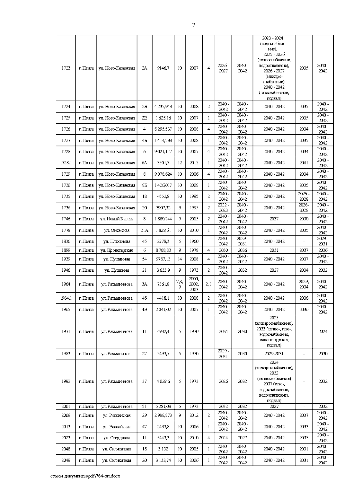
Постановление Правительства Пензенской области от 08.09.2025 № 764-пП
"О внесении изменений в региональную программу капитального ремонта общего имущества в многоквартирных домах, расположенных на территории Пензенской области, утвержденную постановлением Правительства Пензенской области от 19.02.2014 № 95-пП (с последующими изменениями)"
Номер опубликования: 5800202509100002
Дата опубликования: 10.09.2025
Страница №7 из 12:
Увеличить