Официальное опубликование правовых актов
ОФИЦИАЛЬНОЕ ОПУБЛИКОВАНИЕ
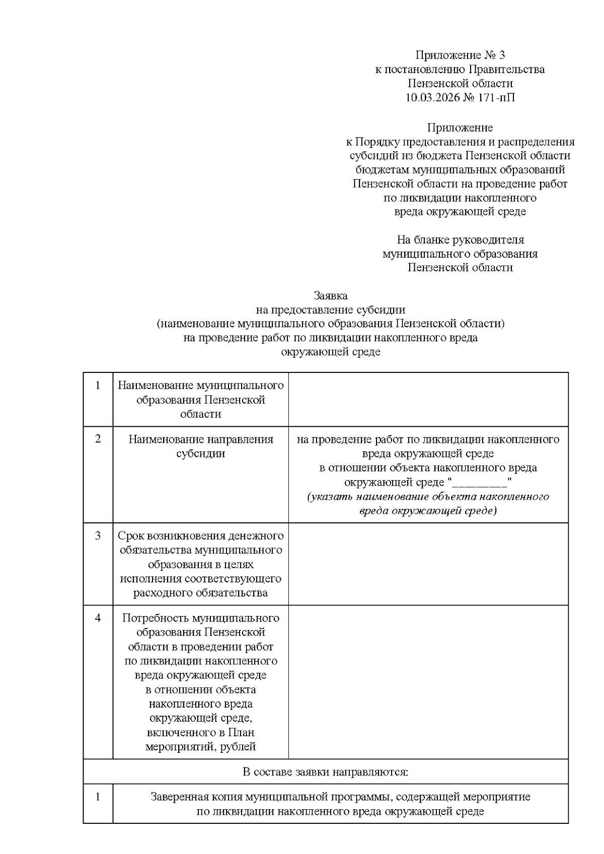
Постановление Правительства Пензенской области от 10.03.2026 № 171-пП
"О внесении изменений в государственную программу Пензенской области "Охрана, воспроизводство и использование природных ресурсов в Пензенской области", утвержденную постановлением Правительства Пензенской области от 12.09.2013 № 681-пП (с последующими изменениями)"
Номер опубликования: 5800202603130002
Дата опубликования: 13.03.2026
Страница №11 из 12:
Увеличить