Официальное опубликование правовых актов
ОФИЦИАЛЬНОЕ ОПУБЛИКОВАНИЕ
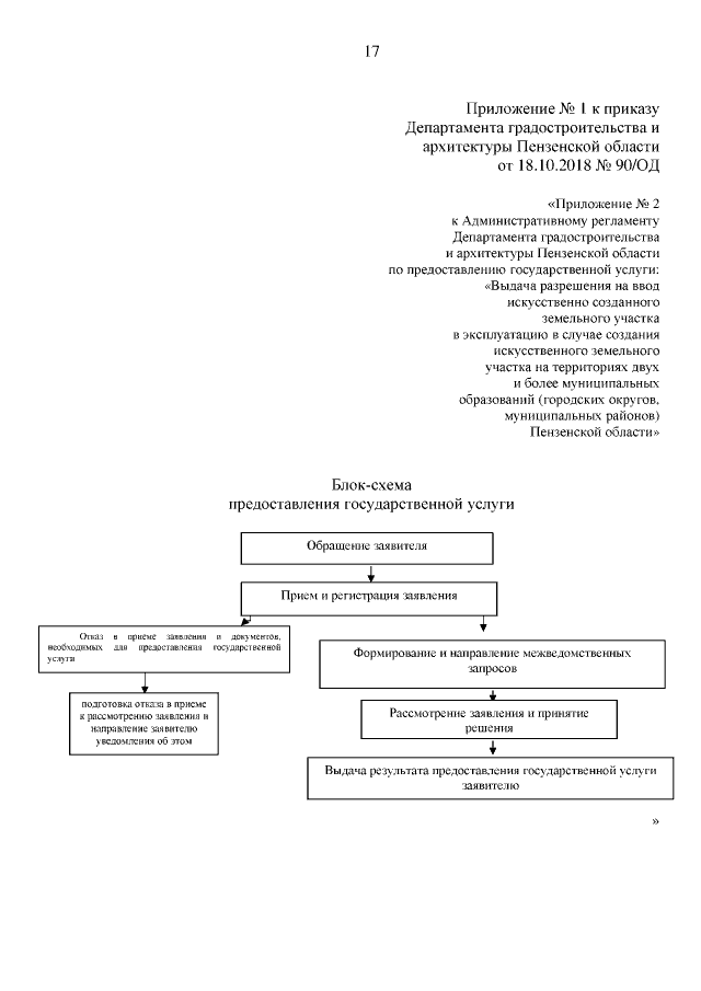
Приказ Департамента градостроительства и архитектуры Пензенской области от 18.10.2018 № 90/ОД
"О внесении изменений в Административный регламент предоставления Департаментом градостроительства и архитектуры Пензенской области государственной услуги: "Выдача разрешения на ввод в эксплуатацию искусственно созданного земельного участка в случае создания искусственного земельного участка на территориях двух и более муниципальных образований (городских округов, муниципальных районов) Пензенской области", утвержденный приказом Департамента градостроительства и архитектуры Пензенской области от 24.04.2017 № 26/ОД (с последующими изменениями)"
Номер опубликования: 5801201810220009
Дата опубликования: 22.10.2018
Страница №17 из 19:
Увеличить