Официальное опубликование правовых актов
ОФИЦИАЛЬНОЕ ОПУБЛИКОВАНИЕ
Приказ Департамента градостроительства и архитектуры Пензенской области от 07.08.2019 № 74/ОД
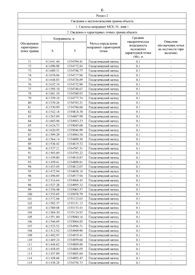
"Об утверждении границ охранной зоны существующего газопровода низкого давления, протяженностью 4494,0 м., расположенного по адресу: Пензенская область, Нижнеломовский район, с.Верхний Ломов, ул. Пушкари, и наложению ограничений (обременений) на входящие в нее земельные участки"
Номер опубликования: 5801201908080001
Дата опубликования: 08.08.2019
Страница №6 из 16:
Увеличить