Официальное опубликование правовых актов
ОФИЦИАЛЬНОЕ ОПУБЛИКОВАНИЕ
Приказ Министерства градостроительства и архитектуры Пензенской области от 08.08.2024 № 23-309
"О внесении изменений в Правила землепользования и застройки муниципального образования Воскресеновский сельсовет Пензенского района Пензенской области, утвержденные постановлением администрации Воскресеновского сельсовета Пензенского района Пензенской области от 10.02.2022 № 11"
(Зарегистрирован 08.08.2024 № 23-309)
Номер опубликования: 5801202408090015
Дата опубликования: 09.08.2024
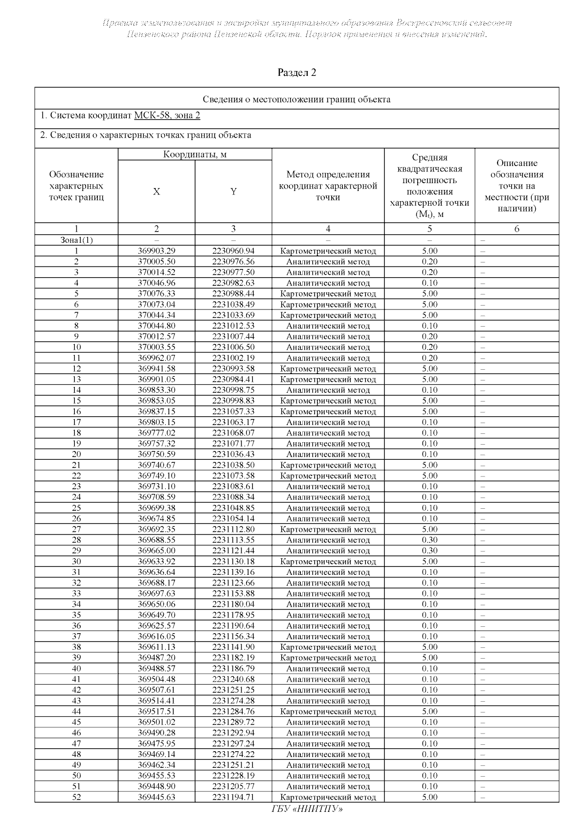
Страница №125 из 241:
Увеличить