Официальное опубликование правовых актов
ОФИЦИАЛЬНОЕ ОПУБЛИКОВАНИЕ
Приказ Министерства градостроительства и архитектуры Пензенской области от 05.11.2024 № 23-431
"О внесении изменений в Правила землепользования и застройки муниципального образования Воскресеновский сельсовет Пензенского района Пензенской области, утвержденные постановлением администрации Воскресеновского сельсовета Пензенского района Пензенской области от 10.02.2022 № 11 (с последующими изменениями)"
(Зарегистрирован 05.11.2024 № 23-431)
Номер опубликования: 5801202411070005
Дата опубликования: 07.11.2024
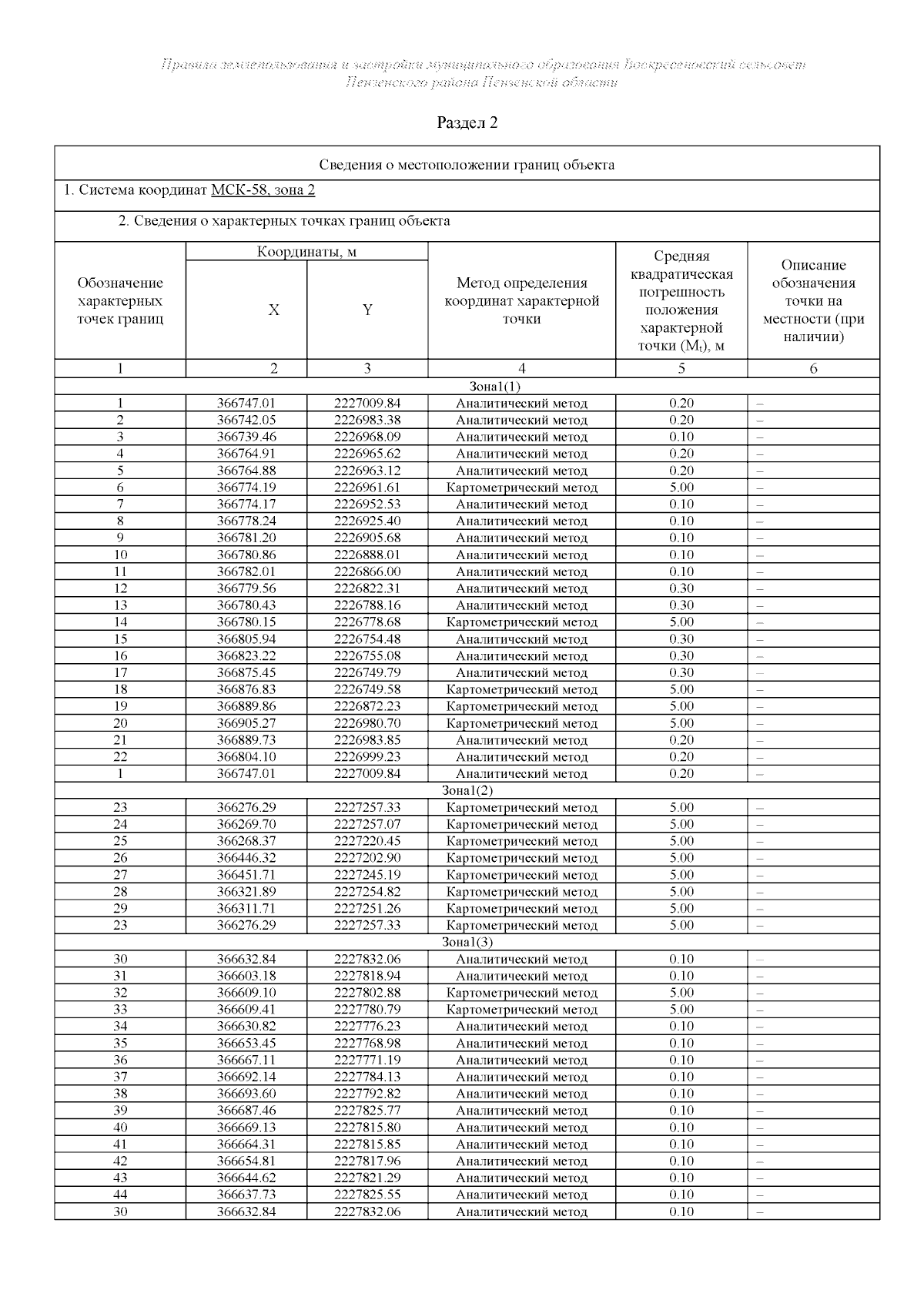
Страница №133 из 248:
Увеличить