Официальное опубликование правовых актов
ОФИЦИАЛЬНОЕ ОПУБЛИКОВАНИЕ
Приказ Министерства градостроительства и архитектуры Пензенской области от 26.05.2025 № 23-234
"О внесении изменений в Правила землепользования и застройки муниципального образования Кижеватовский сельсовет Бессоновского района Пензенской области, утвержденные решением Собрания представителей Бессоновского района Пензенской области третьего созыва от 28.12.2015 № 466-61/3 (с последующими изменениями)"
(Зарегистрирован 26.05.2025 № 23-234)
Номер опубликования: 5801202505280006
Дата опубликования: 28.05.2025
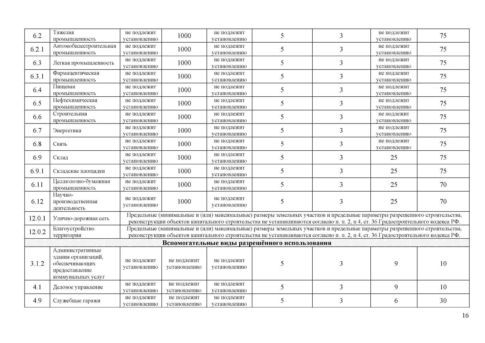
Страница №16 из 29:
Увеличить