Официальное опубликование правовых актов
ОФИЦИАЛЬНОЕ ОПУБЛИКОВАНИЕ
Приказ Министерства градостроительства и архитектуры Пензенской области от 10.11.2025 № 23-738
"О внесении изменений в Генеральный план муниципального образования Пролетарский сельсовет Земетчинского района Пензенской области"
(Зарегистрирован 10.11.2025 № 23-738)
Номер опубликования: 5801202511120001
Дата опубликования: 12.11.2025
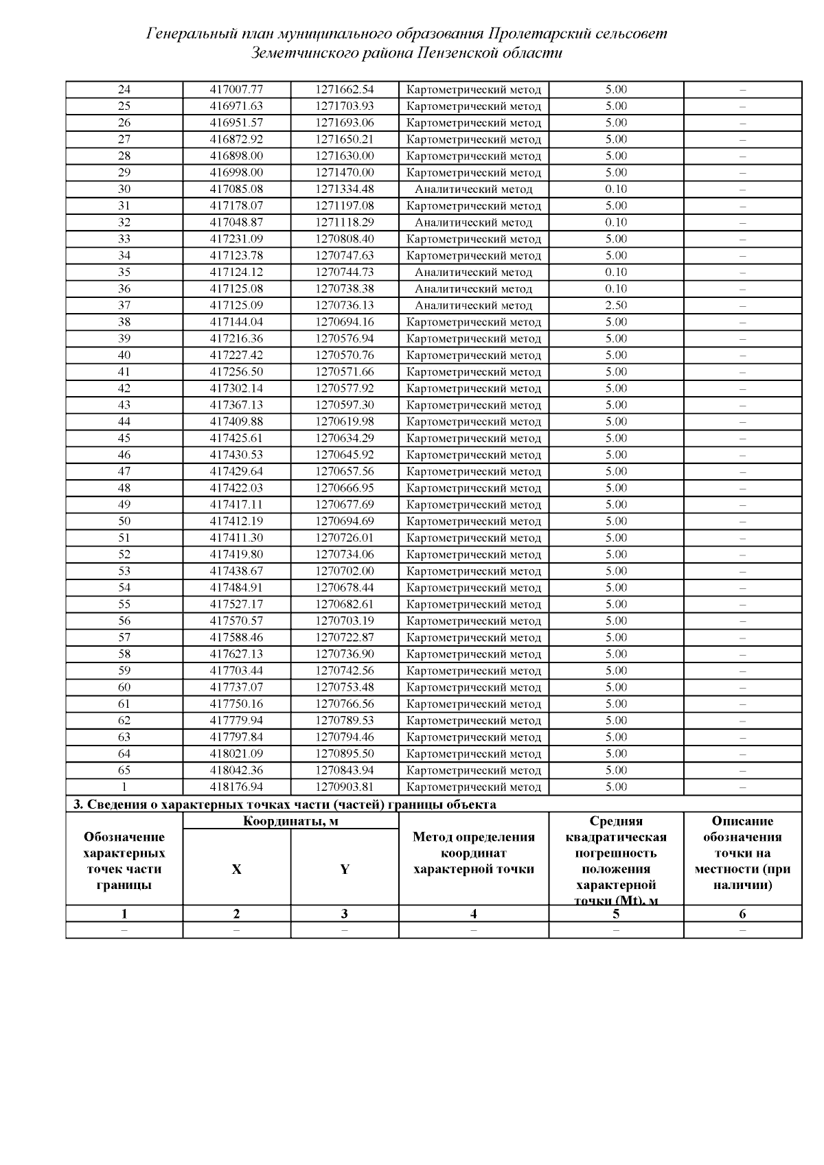
Страница №52 из 52:
Увеличить