Официальное опубликование правовых актов
ОФИЦИАЛЬНОЕ ОПУБЛИКОВАНИЕ
Приказ Министерства градостроительства и архитектуры Пензенской области от 27.11.2025 № 23-842
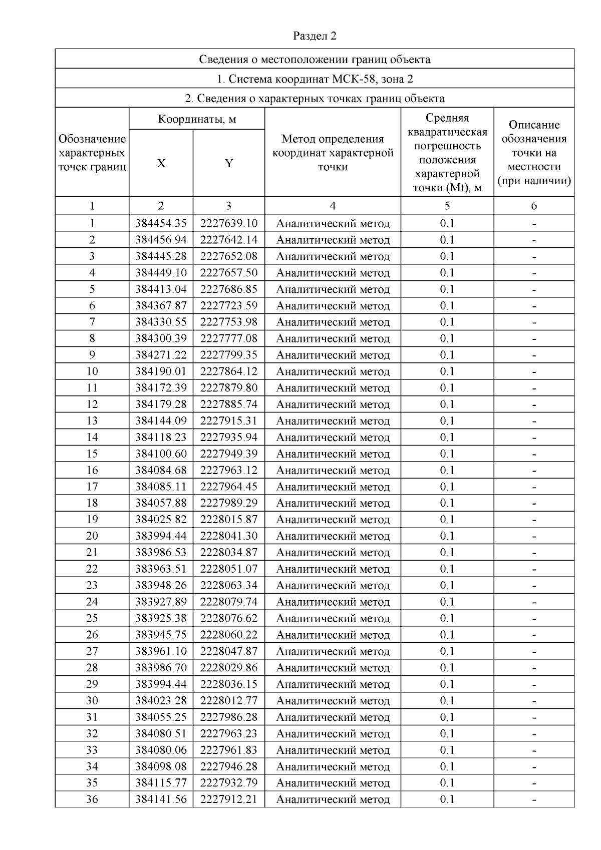
"О признании утратившим силу приказа Министерства строительства и жилищно-коммунального хозяйства Пензенской области от 04.12.2015 № 817/ОД и об утверждении границ охранной зоны существующего газопровода среднего давления, протяженностью 641 м, расположенной по адресу: г. Пенза, ул. 8 Марта-ул. Гастелло, д. 7Г-19Г, по ул. 8 Марта от ул. Огарева до ул. Гастелло, и наложении ограничений (обременений) на входящие в нее земельные участки"
(Зарегистрирован 27.11.2025 № 23-842)
Номер опубликования: 5801202512010006
Дата опубликования: 01.12.2025
Страница №5 из 6:
Увеличить