Официальное опубликование правовых актов
ОФИЦИАЛЬНОЕ ОПУБЛИКОВАНИЕ
Приказ Министерства градостроительства и архитектуры Пензенской области от 27.11.2025 № 23-843
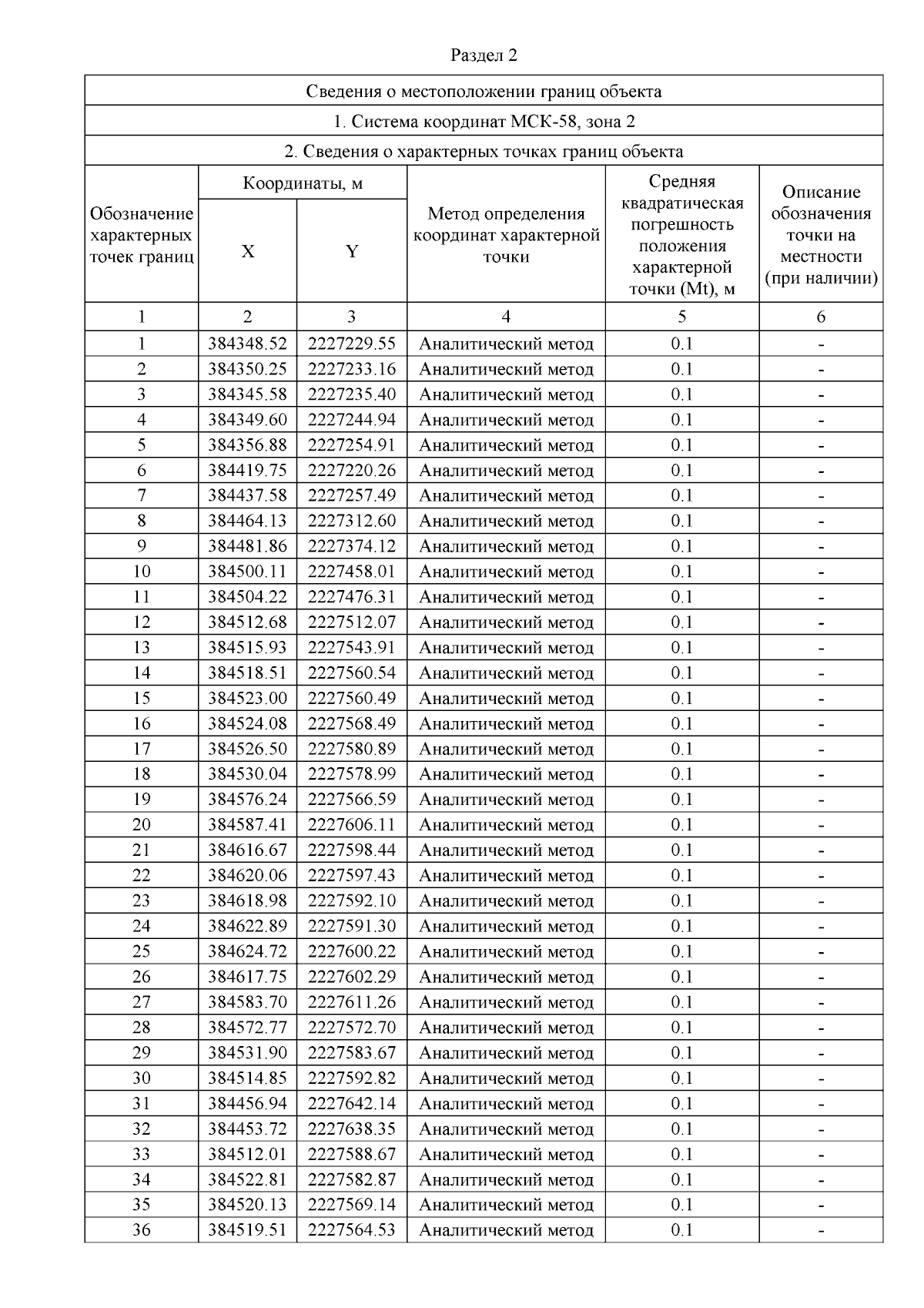
"О признании утратившим силу приказа Министерства строительства и жилищно-коммунального хозяйства Пензенской области от 12.11.2015 № 608/ОД и об утверждении границ охранной зоны существующего газопровода среднего давления, протяженностью 739 м, расположенной по адресу: Российская Федерация, Пензенская область, г. Пенза, ул. Маресьева/ул. Гастелло, 22Г/44Г, и наложении ограничений (обременений) на входящие в нее земельные участки"
(Зарегистрирован 27.11.2025 № 23-843)
Номер опубликования: 5801202512010009
Дата опубликования: 01.12.2025
Страница №5 из 6:
Увеличить