Официальное опубликование правовых актов
ОФИЦИАЛЬНОЕ ОПУБЛИКОВАНИЕ
Приказ Министерства градостроительства и архитектуры Пензенской области от 27.11.2025 № 23-847
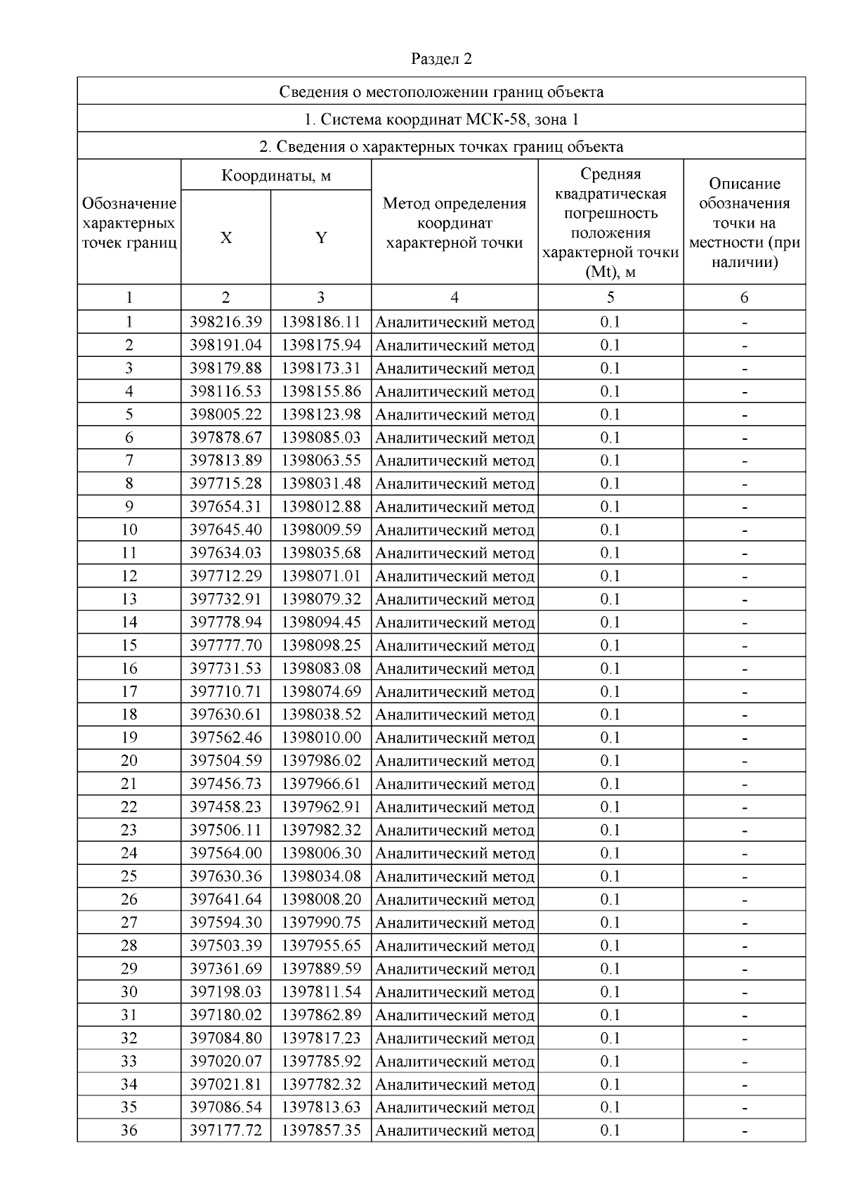
"Об утверждении границ охранной зоны существующего газопровода, протяженностью 1784 м, расположенного по адресу: Пензенская область, Мокшанский р-н, д. Выглядовка, и наложении ограничений (обременений) на входящие в нее земельные участки"
(Зарегистрирован 27.11.2025 № 23-847)
Номер опубликования: 5801202512010010
Дата опубликования: 01.12.2025
Страница №5 из 6:
Увеличить