Официальное опубликование правовых актов
ОФИЦИАЛЬНОЕ ОПУБЛИКОВАНИЕ
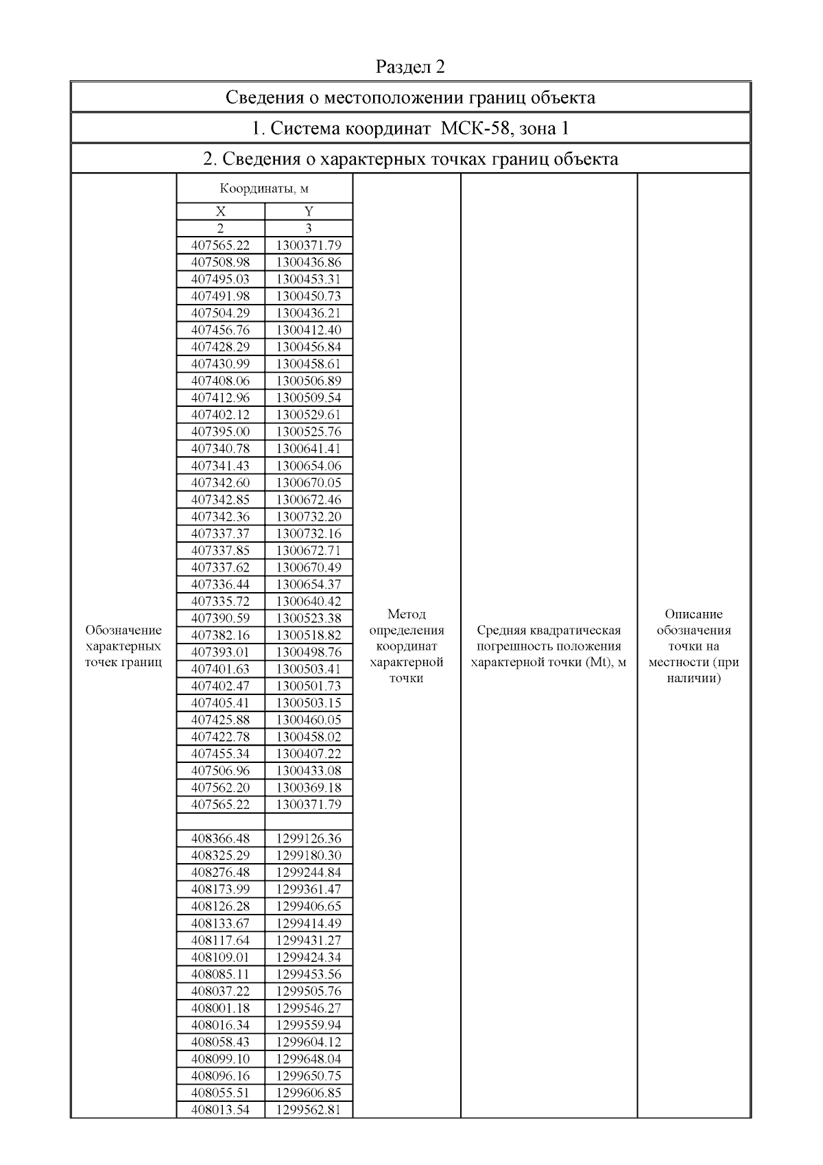
Приказ Министерства градостроительства и архитектуры Пензенской области от 09.12.2025 № 23-906
"Об утверждении границ охранной зоны существующего газопровода, протяженностью 3850 м, расположенного по адресу: Пензенская область, р-н Пачелмский, с. Русско-Никольское, и наложении ограничений (обременений) на входящие в нее земельные участки"
(Зарегистрирован 09.12.2025 № 23-906)
Номер опубликования: 5801202512120010
Дата опубликования: 12.12.2025
Страница №5 из 7:
Увеличить