Официальное опубликование правовых актов
ОФИЦИАЛЬНОЕ ОПУБЛИКОВАНИЕ
Приказ Министерства градостроительства и архитектуры Пензенской области от 24.12.2025 № 23-1015
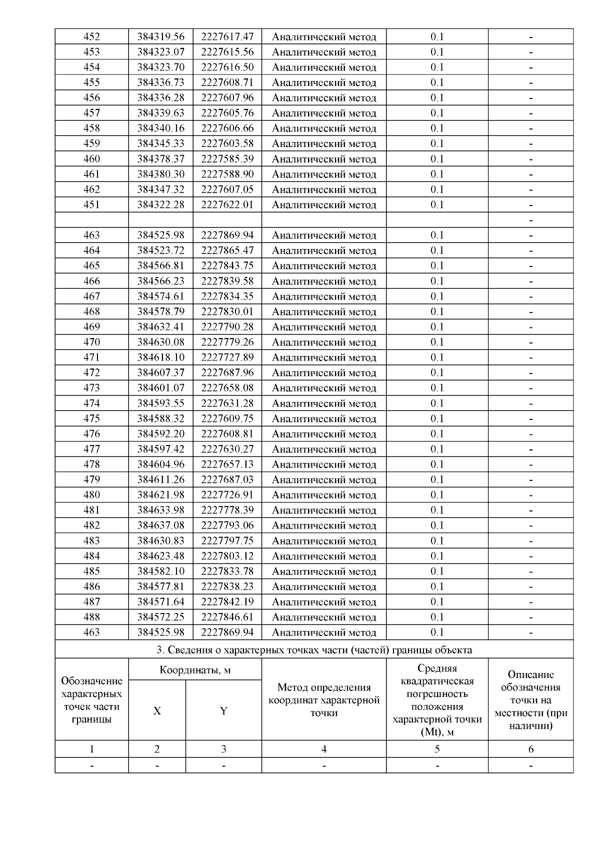
"О признании утратившим силу приказа Министерства строительства, архитектуры и дорожного хозяйства Пензенской области от 20.02.2016 № 131/ОД и об утверждении границ охранной зоны существующего газопровода, протяженностью 2402 м, расположенной по адресу: Российская Федерация, Пензенская область, г. Пенза, р-н Ленинский, ул. Гастелло, от т.1 (врезка в существующий газопровод в районе ул. Челюскина) до т.2-216 (врезки сети в жилые дома по ул. Средняя, пр. Будашкина, пр. Маресьева, ул. Челюскина, ул. Гастелло, пр. Сурикова), и наложении ограничений (обременений) на входящие в нее земельные участки"
(Зарегистрирован 24.12.2025 № 23-1015)
Номер опубликования: 5801202512260002
Дата опубликования: 26.12.2025
Страница №17 из 18:
Увеличить