Официальное опубликование правовых актов
ОФИЦИАЛЬНОЕ ОПУБЛИКОВАНИЕ
Приказ Министерства градостроительства и архитектуры Пензенской области от 24.12.2025 № 23-1009
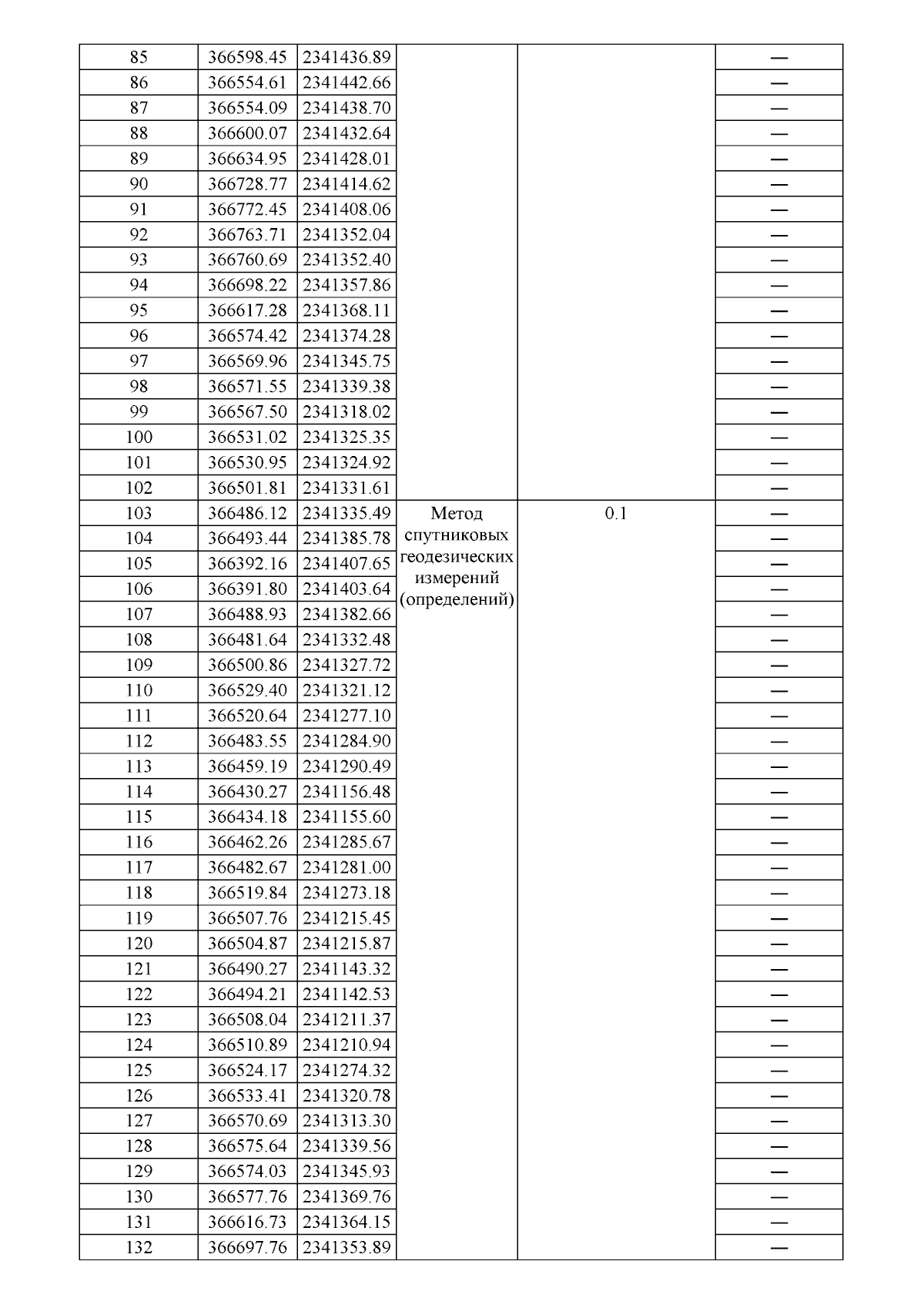
"Об утверждении границ охранной зоны существующего газопровода низкого давления, протяженностью 2814 м, расположенного по адресу: Пензенская область, м.р-н Кузнецкий, с.п. Яснополянский сельсовет, с. Злобинка, и наложении ограничений (обременений) на входящие в нее земельные участки"
(Зарегистрирован 24.12.2025 № 23-1009)
Номер опубликования: 5801202512260025
Дата опубликования: 26.12.2025
Страница №7 из 8:
Увеличить