Официальное опубликование правовых актов
ОФИЦИАЛЬНОЕ ОПУБЛИКОВАНИЕ
Приказ Министерства лесного, охотничьего хозяйства и природопользования Пензенской области от 27.02.2026 № 15-37
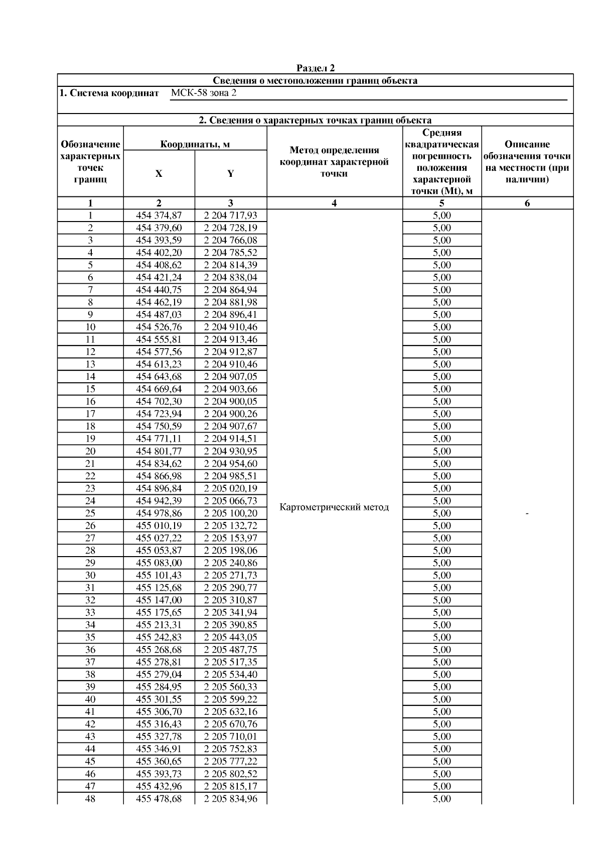
"О внесении изменения в приказ Министерства лесного, охотничьего хозяйства и природопользования Пензенской области от 27.01.2021 № 9/2 "Об установлении местоположения береговой линии (границы водного объекта), границ водоохранных зон и границ прибрежных защитных полос р. Исса на территории Пензенской области от истока до границы Пензенской области и Республики Мордовия"
(Зарегистрирован 27.02.2026 № 15-37)
Номер опубликования: 5801202603020020
Дата опубликования: 02.03.2026
Страница №4 из 527:
Увеличить