Официальное опубликование правовых актов
ОФИЦИАЛЬНОЕ ОПУБЛИКОВАНИЕ
Приказ Министерства градостроительства и архитектуры Пензенской области от 10.03.2026 № 23-187
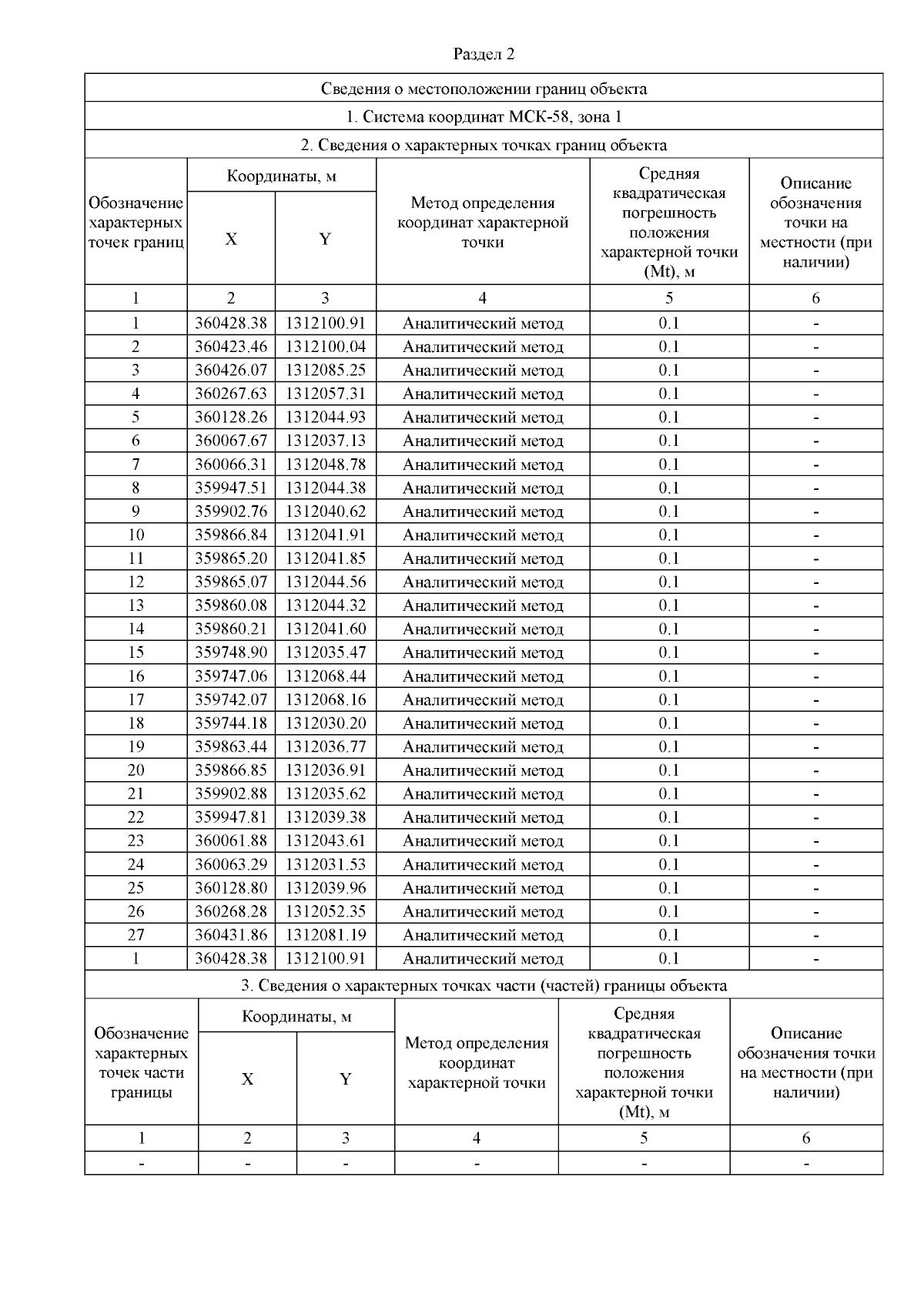
"Об утверждении границ охранной зоны существующего газопровода низкого давления, протяженностью 758 м, расположенного по адресу: обл. Пензенская, р-н Белинский, с. Корсаевка, ул. Катаевка, и наложении ограничений (обременений) на входящие в нее земельные участки"
(Зарегистрирован 10.03.2026 № 23-187)
Номер опубликования: 5801202603130017
Дата опубликования: 13.03.2026
Страница №5 из 6:
Увеличить