Официальное опубликование правовых актов
ОФИЦИАЛЬНОЕ ОПУБЛИКОВАНИЕ
Приказ Министерства градостроительства и архитектуры Пензенской области от 20.03.2026 № 23-230
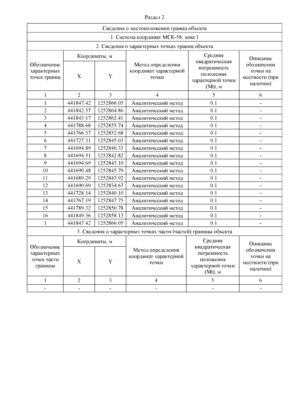
"Об утверждении границ охранной зоны существующего газопровода низкого давления, протяженностью 165 м, расположенного по адресу: Пензенская обл., Земетчинский р-н, с. Морсово, ул. Южная, 8, и наложении ограничений (обременений) на входящие в нее земельные участки"
(Зарегистрирован 20.03.2026 № 23-230)
Номер опубликования: 5801202603240022
Дата опубликования: 24.03.2026
Страница №5 из 6:
Увеличить