Приказ Министерства градостроительства и архитектуры Пензенской области от 08.04.2026 № 23-346
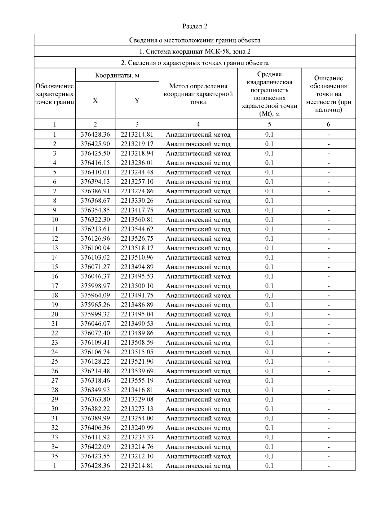
"Об утверждении границ охранной зоны существующего газопровода низкого давления, протяженностью 743 м, расположенного по адресу: Российская Федерация, Пензенская область, район Пензенский, село Константиновка, улица Заречная, и наложении ограничений (обременений) на входящие в нее земельные участки"
(Зарегистрирован 08.04.2026 № 23-346)
"Об утверждении границ охранной зоны существующего газопровода низкого давления, протяженностью 743 м, расположенного по адресу: Российская Федерация, Пензенская область, район Пензенский, село Константиновка, улица Заречная, и наложении ограничений (обременений) на входящие в нее земельные участки"
(Зарегистрирован 08.04.2026 № 23-346)
Номер опубликования: 5801202604090010
Дата опубликования:
09.04.2026
