Официальное опубликование правовых актов
ОФИЦИАЛЬНОЕ ОПУБЛИКОВАНИЕ
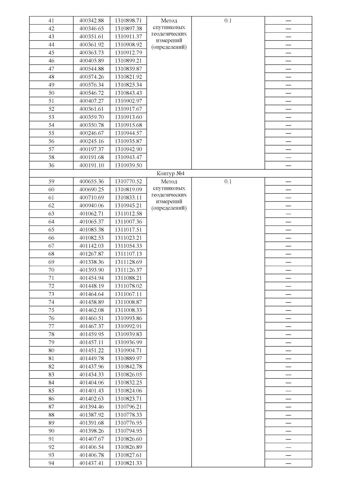
Приказ Министерства градостроительства и архитектуры Пензенской области от 08.04.2026 № 23-352
"Об утверждении границ охранной зоны существующего газопровода, протяженностью 4524 м, расположенного по адресу: Пензенская область, Пачелмский р-н, с. Шейно, и наложении ограничений (обременений) на входящие в нее земельные участки"
(Зарегистрирован 08.04.2026 № 23-352)
Номер опубликования: 5801202604090013
Дата опубликования: 09.04.2026
Страница №6 из 9:
Увеличить