Официальное опубликование правовых актов
ОФИЦИАЛЬНОЕ ОПУБЛИКОВАНИЕ
Приказ Министерства градостроительства и архитектуры Пензенской области от 13.04.2026 № 23-402
"Об утверждении Правил землепользования и застройки муниципального образования Пролетарский сельсовет Земетчинского района Пензенской области"
(Зарегистрирован 13.04.2026 № 23-402)
Номер опубликования: 5801202604140010
Дата опубликования: 14.04.2026
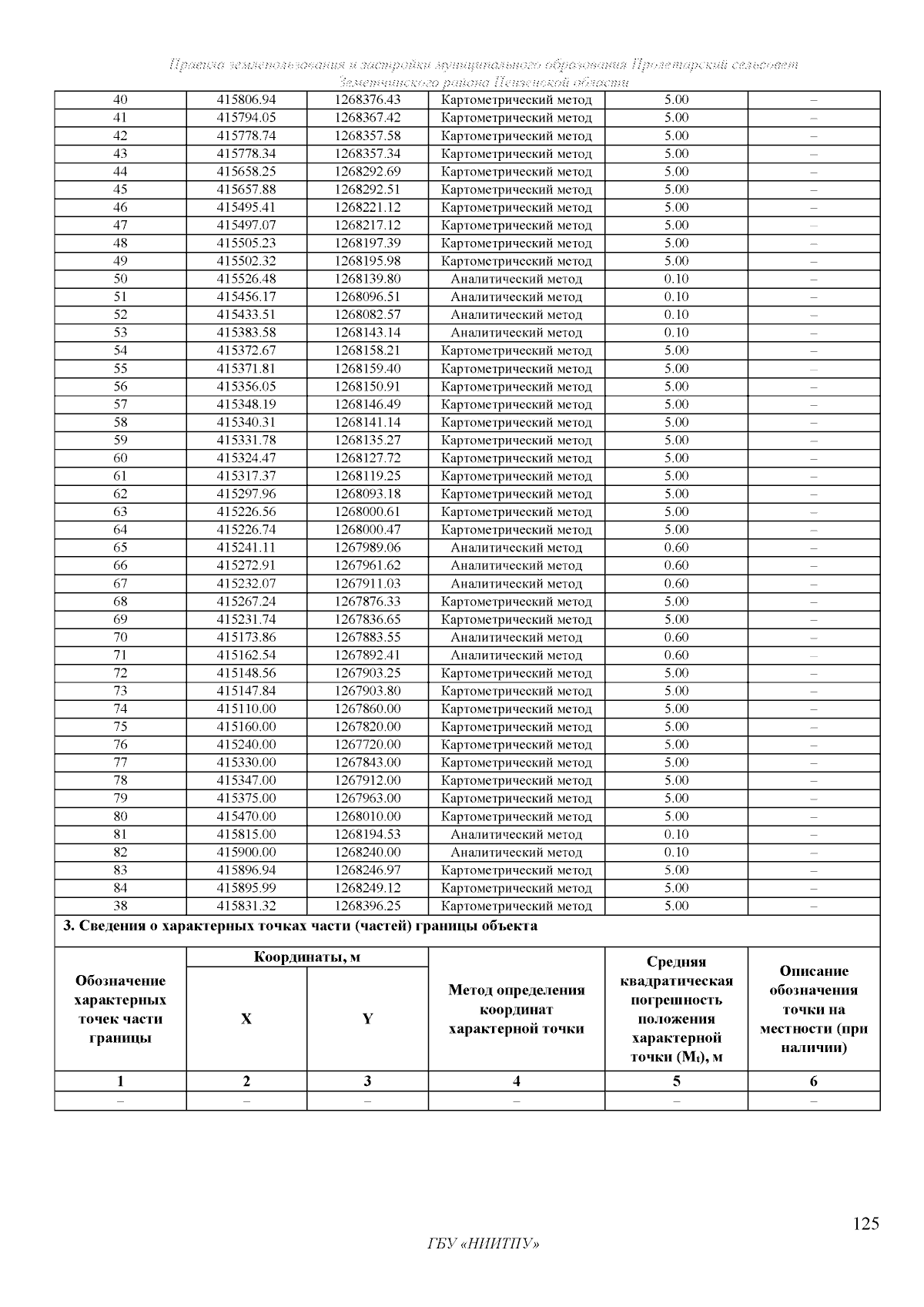
Страница №125 из 150:
Увеличить