Официальное опубликование правовых актов
ОФИЦИАЛЬНОЕ ОПУБЛИКОВАНИЕ
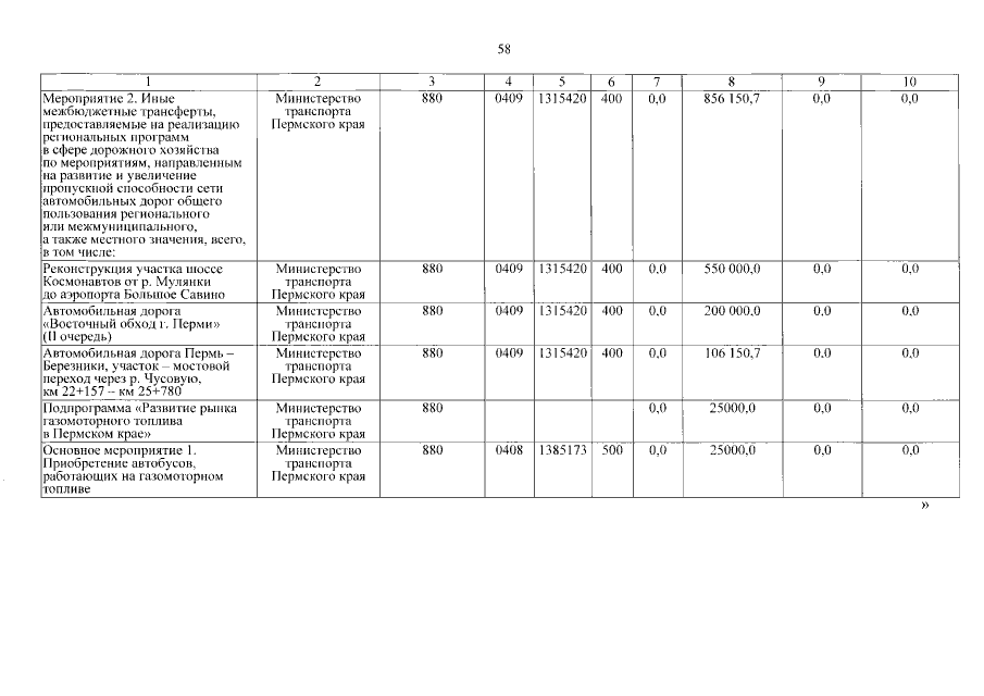
Постановление Правительства Пермского края от 06.07.2015 № 447-п
"О внесении изменений в государственную программу Пермского края "Развитие транспортной системы", утвержденную постановлением Правительства Пермского края от 3 октября 2013 г. № 1323-п"
Номер опубликования: 5900201507090012
Дата опубликования: 09.07.2015
Страница №59 из 73:
Увеличить