Официальное опубликование правовых актов
ОФИЦИАЛЬНОЕ ОПУБЛИКОВАНИЕ
Постановление Правительства Пермского края от 12.01.2016 № 5-п
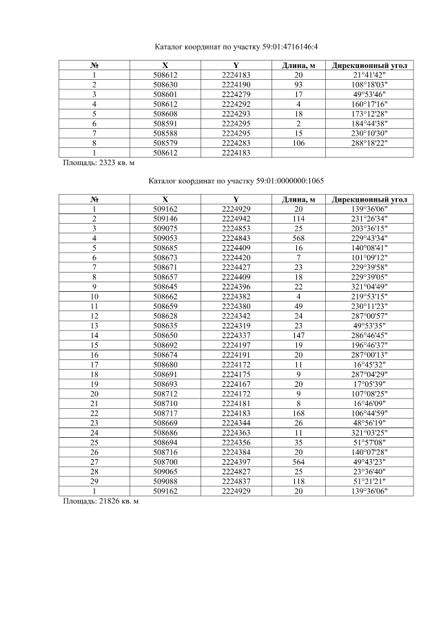
"Об утверждении проекта планировки территории, содержащего проект межевания территории под объект "Реконструкция трубопровода авиационного керосина из стальных труб, инв. № 0000176П, находящегося по адресу: Пермский край, Пермский район, Савинское с/п, аэропорт "Большое Савино"
Номер опубликования: 5900201601130003
Дата опубликования: 13.01.2016
Страница №49 из 52:
Увеличить