Официальное опубликование правовых актов
ОФИЦИАЛЬНОЕ ОПУБЛИКОВАНИЕ
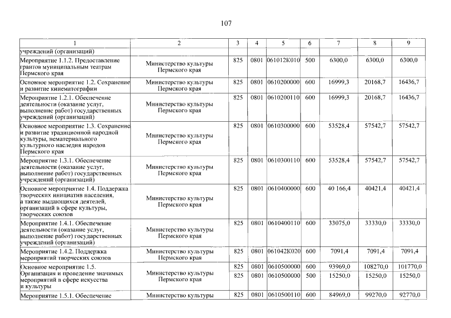
Постановление Правительства Пермского края от 05.09.2016 № 701-п
"О внесении изменения в государственную программу Пермского края "Культура Пермского края", утвержденную постановлением Правительства Пермского края от 03 октября 2013 г. № 1317-п"
Номер опубликования: 5900201609080009
Дата опубликования: 08.09.2016
Страница №108 из 146:
Увеличить