Официальное опубликование правовых актов
ОФИЦИАЛЬНОЕ ОПУБЛИКОВАНИЕ
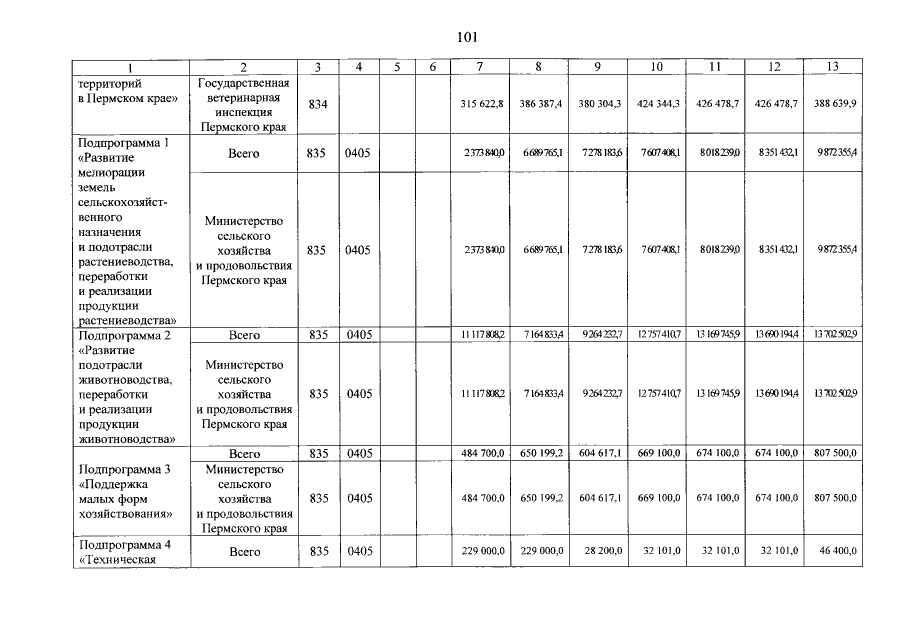
Постановление Правительства Пермского края от 12.01.2017 № 10-п
"О внесении изменений в государственную программу "Развитие сельского хозяйства и устойчивое развитие сельских территорий в Пермском крае", утвержденную постановлением Правительства Пермского края от 03 октября 2013 г. № 1320-п"
Номер опубликования: 5900201701130001
Дата опубликования: 13.01.2017
Страница №102 из 104:
Увеличить