Официальное опубликование правовых актов
ОФИЦИАЛЬНОЕ ОПУБЛИКОВАНИЕ
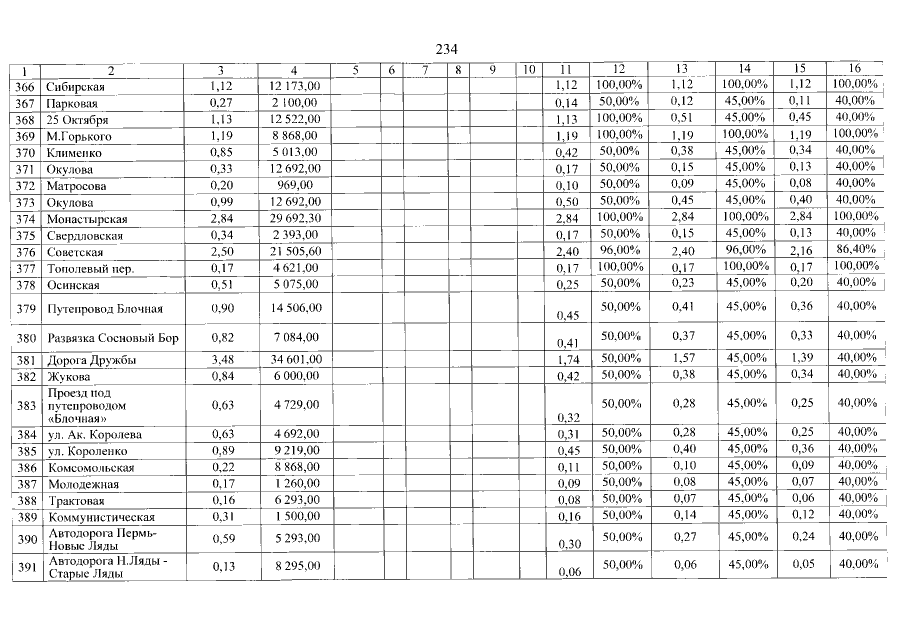
Постановление Правительства Пермского края от 20.02.2017 № 50-п
"О внесении изменения в приложение 21 к государственной программе Пермского края "Развитие транспортной системы", утвержденной постановлением Правительства Пермского края от 03 октября 2013 г. № 1323-п"
Номер опубликования: 5900201702220001
Дата опубликования: 22.02.2017
Страница №235 из 292:
Увеличить