Официальное опубликование правовых актов
ОФИЦИАЛЬНОЕ ОПУБЛИКОВАНИЕ
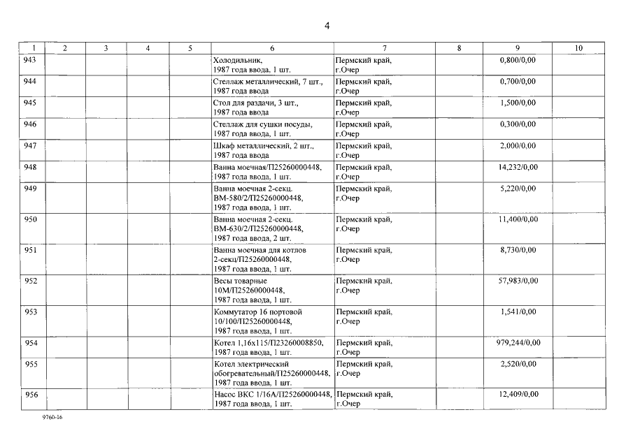
Закон Пермского края от 02.03.2017 № 63-ПК
"О внесении изменений в Закон Пермского края "О разграничении имущества, находящегося в муниципальной собственности Очерского муниципального района"
Номер опубликования: 5900201703090007
Дата опубликования: 09.03.2017
Страница №6 из 38:
Увеличить