Официальное опубликование правовых актов
ОФИЦИАЛЬНОЕ ОПУБЛИКОВАНИЕ
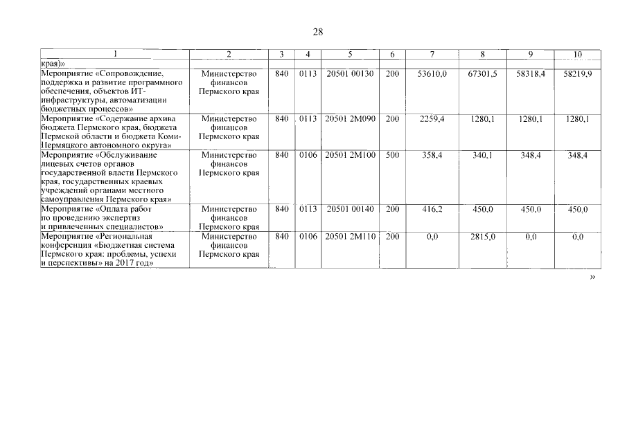
Постановление Правительства Пермского края от 15.03.2017 № 86-п
"О внесении изменений в государственную программу Пермского края "Управление государственными финансами и государственным долгом Пермского края", утвержденную постановлением Правительства Пермского края от 03 октября 2013 г. № 1313-п"
Номер опубликования: 5900201703210002
Дата опубликования: 21.03.2017
Страница №29 из 39:
Увеличить