Официальное опубликование правовых актов
ОФИЦИАЛЬНОЕ ОПУБЛИКОВАНИЕ
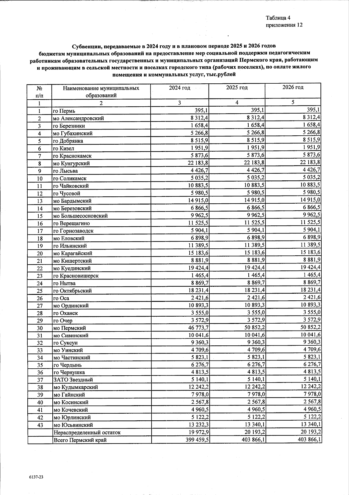
Закон Пермского края от 07.12.2023 № 253-ПК
"О бюджете Пермского края на 2024 год и на плановый период 2025 и 2026 годов"
Номер опубликования: 5900202312070001
Дата опубликования: 07.12.2023
Страница №251 из 322:
Увеличить