Официальное опубликование правовых актов
ОФИЦИАЛЬНОЕ ОПУБЛИКОВАНИЕ
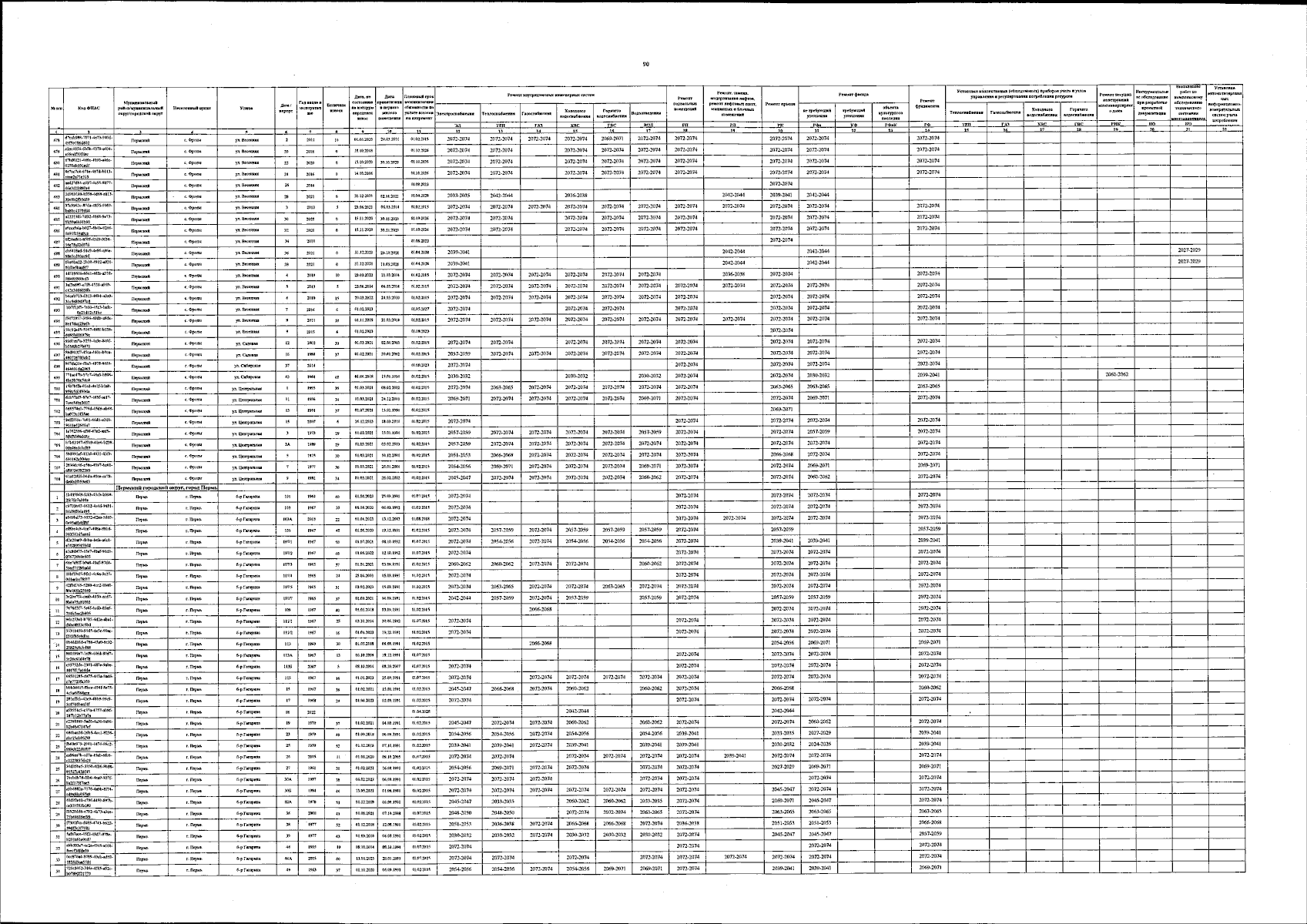
Постановление Правительства Пермского края от 31.01.2024 № 59-п
"О внесении изменения в приложение к региональной программе капитального ремонта общего имущества в многоквартирных домах, расположенных на территории Пермского края, на 2024 – 2074 годы, утвержденной постановлением Правительства Пермского края от 28 апреля 2023 г. № 328-п"
Номер опубликования: 5900202402010011
Дата опубликования: 01.02.2024
Страница №91 из 195:
Увеличить