Официальное опубликование правовых актов
ОФИЦИАЛЬНОЕ ОПУБЛИКОВАНИЕ
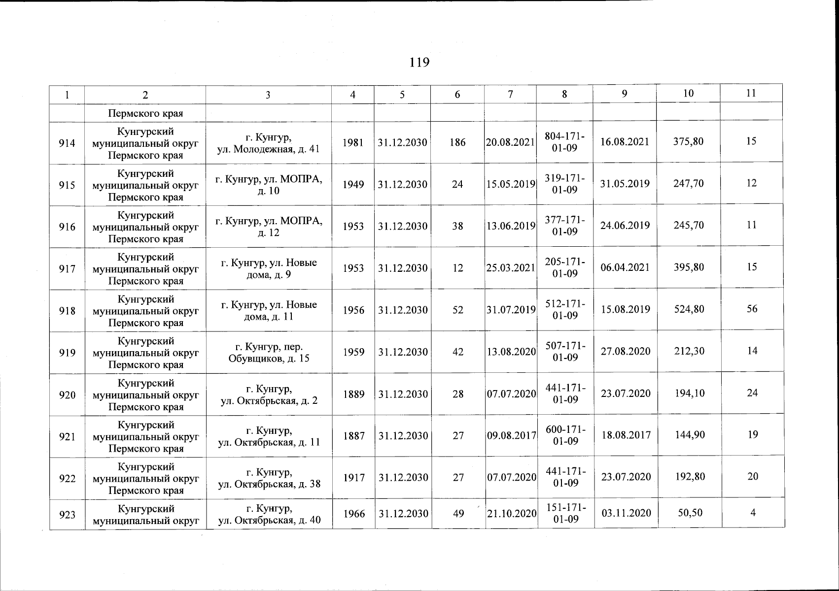
Постановление Правительства Пермского края от 08.05.2024 № 260-п
"Об утверждении региональной адресной программы по переселению граждан из аварийного жилищного фонда на территории Пермского края на 2025 – 2030 годы"
Номер опубликования: 5900202405130002
Дата опубликования: 13.05.2024
Страница №121 из 189:
Увеличить