Официальное опубликование правовых актов
ОФИЦИАЛЬНОЕ ОПУБЛИКОВАНИЕ
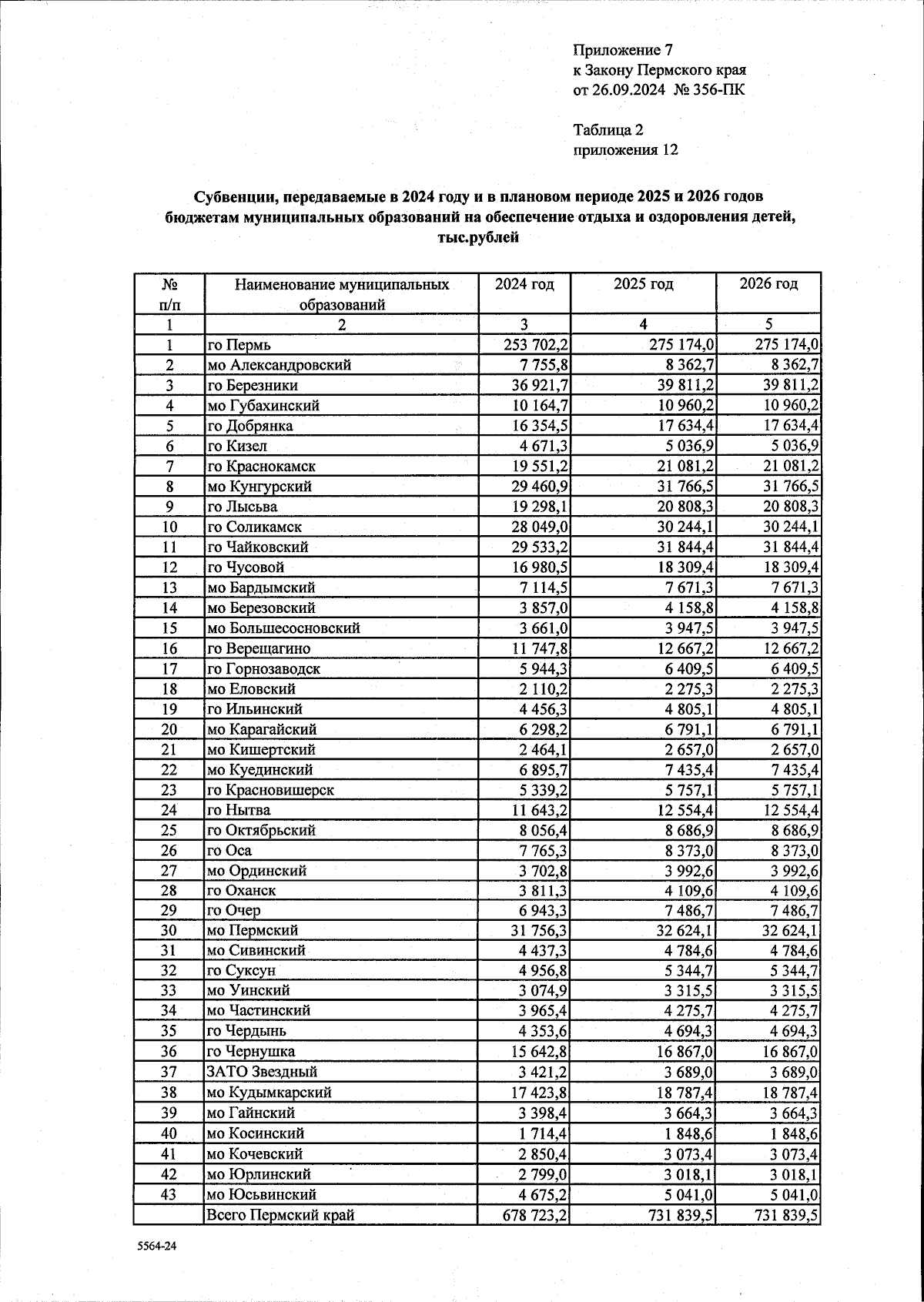
Закон Пермского края от 26.09.2024 № 356-ПК
"О внесении изменений в Закон Пермского края "О бюджете Пермского края на 2024 год и на плановый период 2025 и 2026 годов"
Номер опубликования: 5900202409260001
Дата опубликования: 26.09.2024
Страница №221 из 248:
Увеличить