Постановление Правительства Пермского края от 13.11.2025 № 918-п
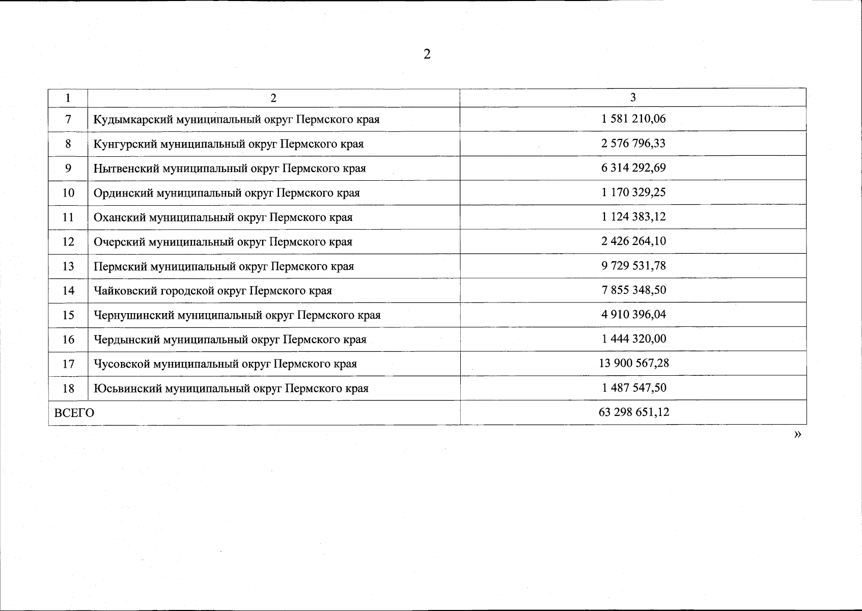
"О внесении изменений в постановление Правительства Пермского края от 27 октября 2021 г. № 810-п "Об утверждении распределения субсидий из бюджета Пермского края бюджетам муниципальных образований на софинансирование мероприятий по снижению негативного воздействия на почвы, восстановлению нарушенных земель, ликвидации несанкционированных свалок в границах муниципального образования"
"О внесении изменений в постановление Правительства Пермского края от 27 октября 2021 г. № 810-п "Об утверждении распределения субсидий из бюджета Пермского края бюджетам муниципальных образований на софинансирование мероприятий по снижению негативного воздействия на почвы, восстановлению нарушенных земель, ликвидации несанкционированных свалок в границах муниципального образования"
Номер опубликования: 5900202511170027
Дата опубликования:
17.11.2025
