Официальное опубликование правовых актов
ОФИЦИАЛЬНОЕ ОПУБЛИКОВАНИЕ
Постановление Правительства Пермского края от 09.04.2026 № 207-п
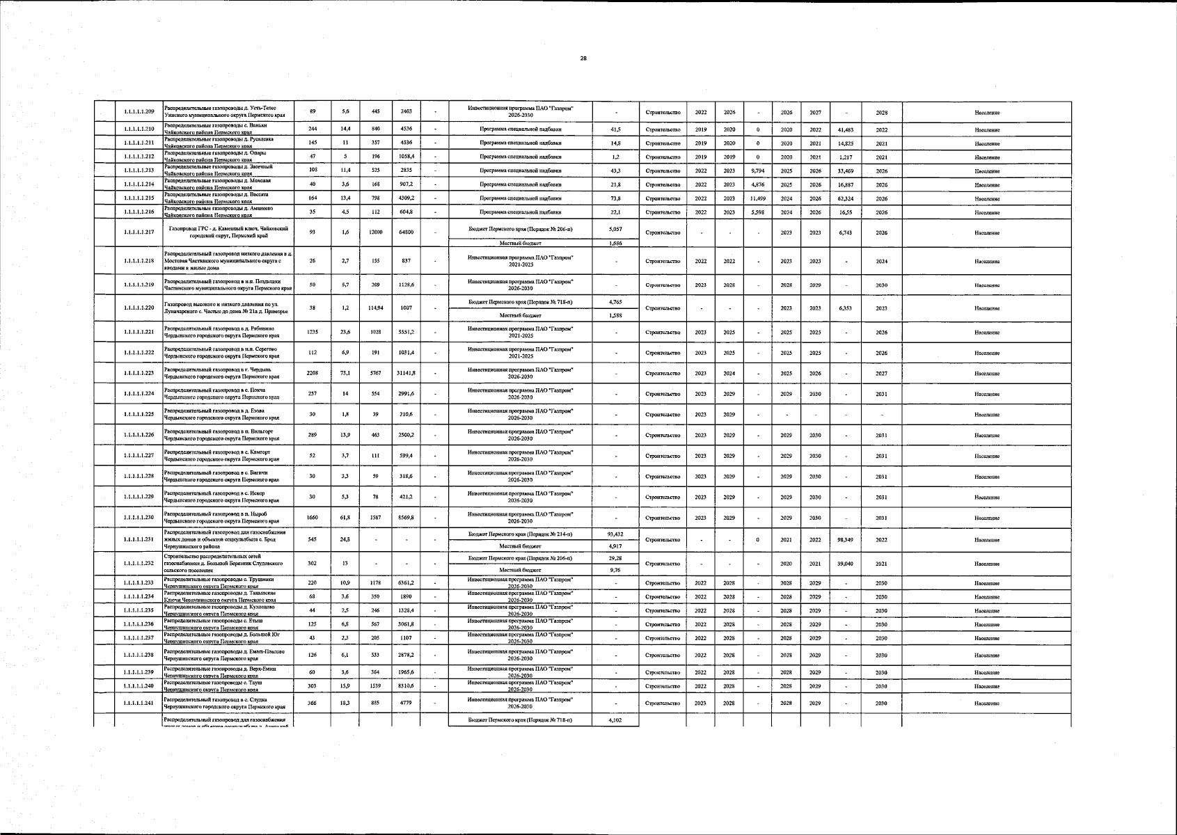
"О внесении изменений в постановление Правительства Пермского края от 29 декабря 2021 г. № 1122-п "Об утверждении Региональной программы газификации жилищно-коммунального хозяйства, промышленных и иных организаций Пермского края на 2021 – 2030 годы"
Номер опубликования: 5900202604100020
Дата опубликования: 10.04.2026
Страница №30 из 35:
Увеличить