Официальное опубликование правовых актов
ОФИЦИАЛЬНОЕ ОПУБЛИКОВАНИЕ
Постановление Министерства тарифного регулирования и энергетики Пермского края от 27.02.2019 № 21-вг
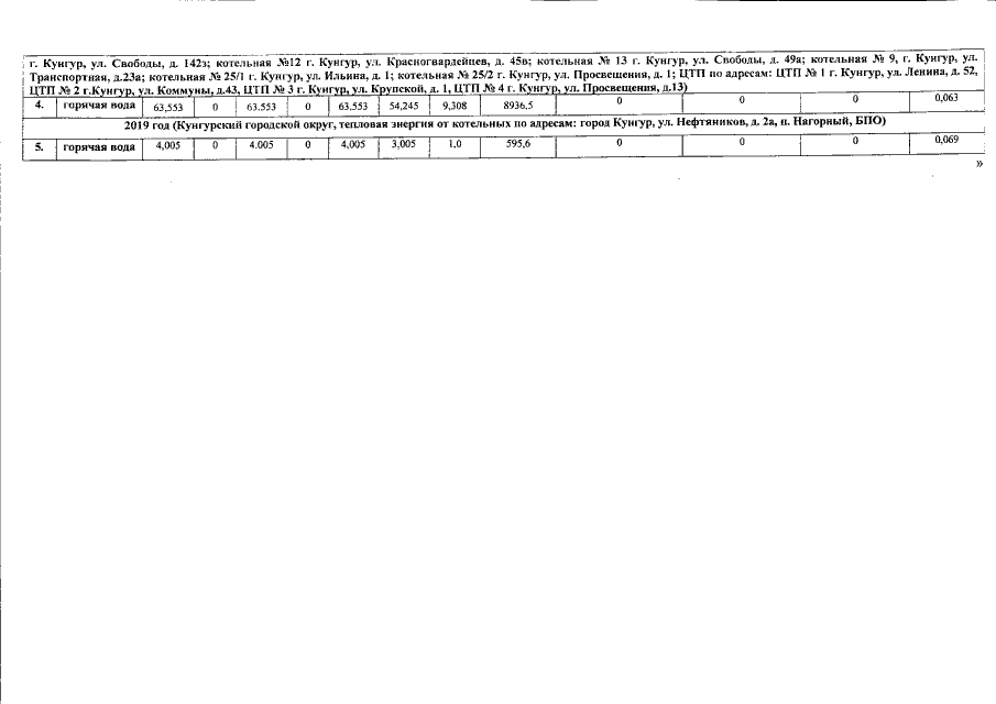
"О внесении изменений в постановление Региональной службы по тарифам Пермского края от 20.12.2018 № 404-вг "О тарифах в сфере горячего водоснабжения общества с ограниченной ответственностью "Тимсервис"
Номер опубликования: 5901201903050003
Дата опубликования: 05.03.2019
Страница №4 из 5:
Увеличить