Приказ Министерства социального развития Пермского края от 22.11.2019 № СЭД-33-01-03-751
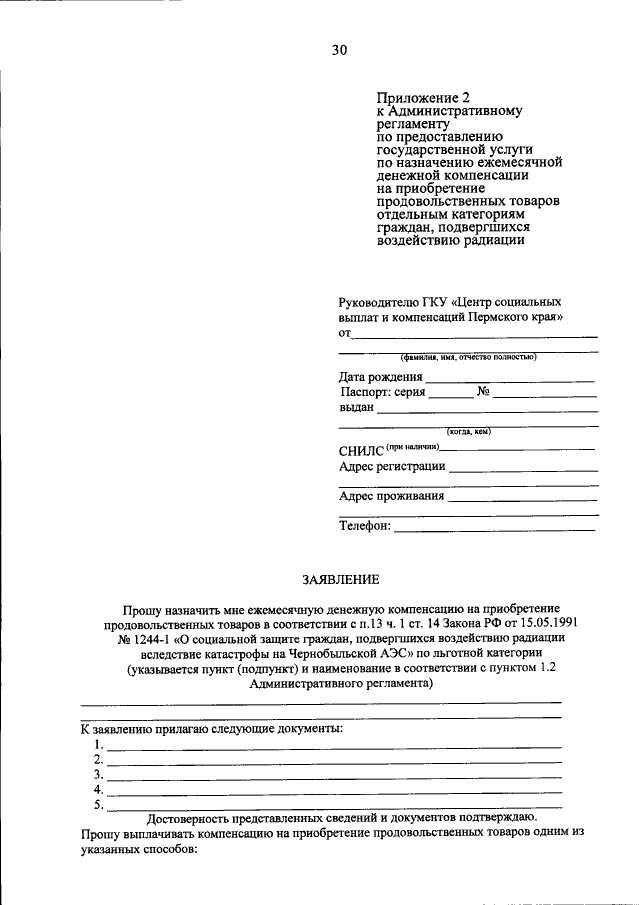
"Об утверждении административного регламента по предоставлению государственной услуги по назначению ежемесячной денежной компенсации на приобретение продовольственных товаров отдельным категориям граждан, подвергшихся воздействию радиации"
"Об утверждении административного регламента по предоставлению государственной услуги по назначению ежемесячной денежной компенсации на приобретение продовольственных товаров отдельным категориям граждан, подвергшихся воздействию радиации"
Номер опубликования: 5901201911250002
Дата опубликования:
25.11.2019
