Официальное опубликование правовых актов
ОФИЦИАЛЬНОЕ ОПУБЛИКОВАНИЕ
Приказ Министерства социального развития Пермского края от 26.06.2020 № СЭД-33-01-03/1-112
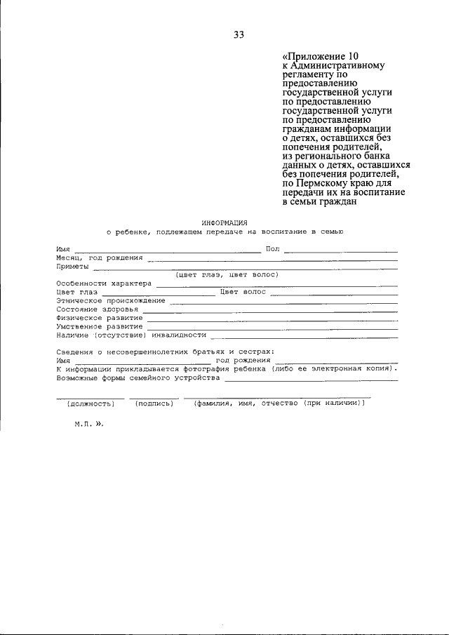
"О внесении изменений в приказ Министерства социального развития Пермского края от 27 декабря 2016 г. № СЭД-33-01-03-787 "Об утверждении Административного регламента по предоставлению государственной услуги по предоставлению гражданам информации о детях, оставшихся без попечения родителей, из регионального банка данных о детях, оставшихся без попечения родителей, по Пермскому краю для передачи их на воспитание в семьи граждан"
Номер опубликования: 5901202006260001
Дата опубликования: 26.06.2020
Страница №35 из 42:
Увеличить