Официальное опубликование правовых актов
ОФИЦИАЛЬНОЕ ОПУБЛИКОВАНИЕ
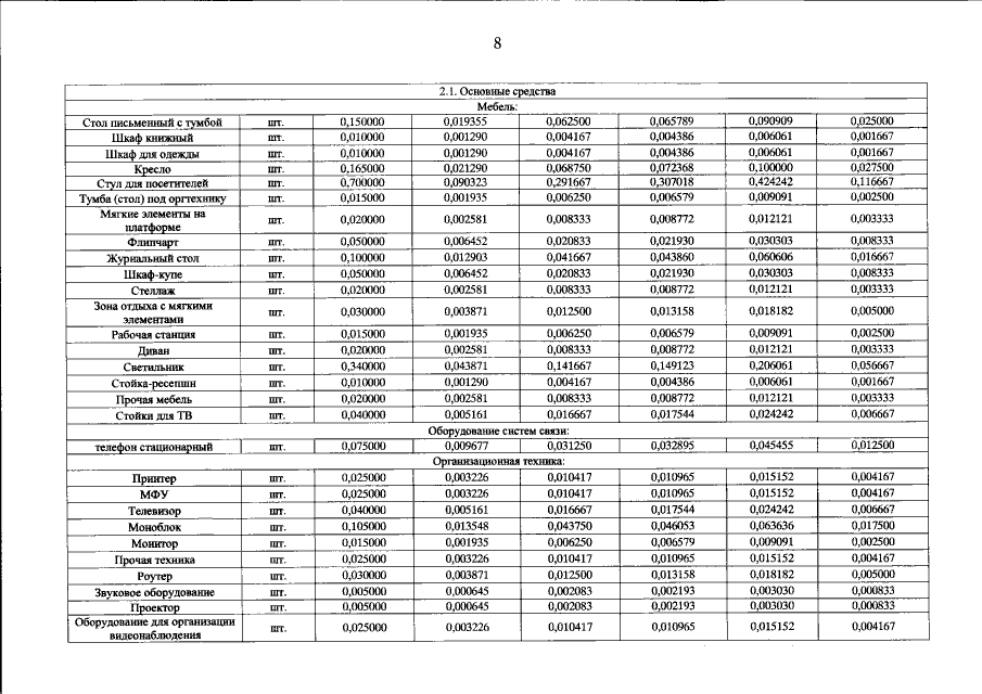
Приказ Министерства экономического развития и инвестиций Пермского края от 27.12.2022 № 18-02-06-96
"Об утверждении нормативных затрат на оказание государственных услуг (выполнения работ), значений норм, выраженных в натуральных показателях, используемых для определения нормативных затрат, применяемых при расчете объемов финансового обеспечения выполнения государственного задания на оказание государственных услуг (выполнения работ) государственным бюджетным учреждением Пермского края "Агентство инвестиционного развития" на 2023-2025 гг."
Номер опубликования: 5901202212290001
Дата опубликования: 29.12.2022
Страница №8 из 11:
Увеличить