Официальное опубликование правовых актов
ОФИЦИАЛЬНОЕ ОПУБЛИКОВАНИЕ
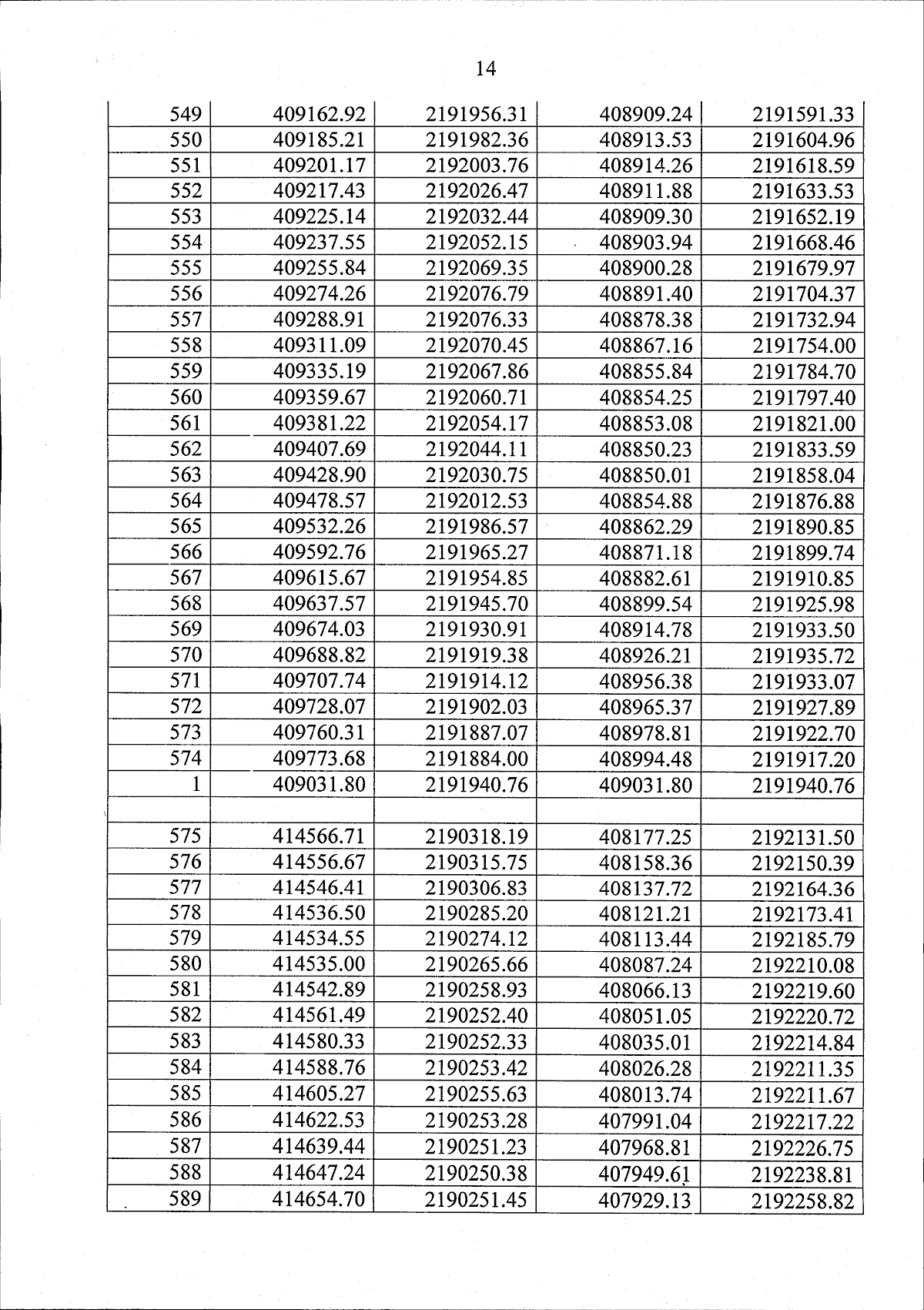
Приказ Министерства природных ресурсов, лесного хозяйства и экологии Пермского края от 30.05.2024 № 30-01-02-586
"Об уточнении границы береговой линии, водоохранной зоны, прибрежной защитной полосы участка реки Тулвы вблизи деревни Ишимово Бардымского муниципального округа Пермского края"
(Зарегистрирован 30.05.2024 № 30-01-02-586)
Номер опубликования: 5901202405310001
Дата опубликования: 31.05.2024
Страница №16 из 56:
Увеличить