Официальное опубликование правовых актов
ОФИЦИАЛЬНОЕ ОПУБЛИКОВАНИЕ
Приказ Министерства природных ресурсов, лесного хозяйства и экологии Пермского края от 16.09.2025 № 30-01-02-1043
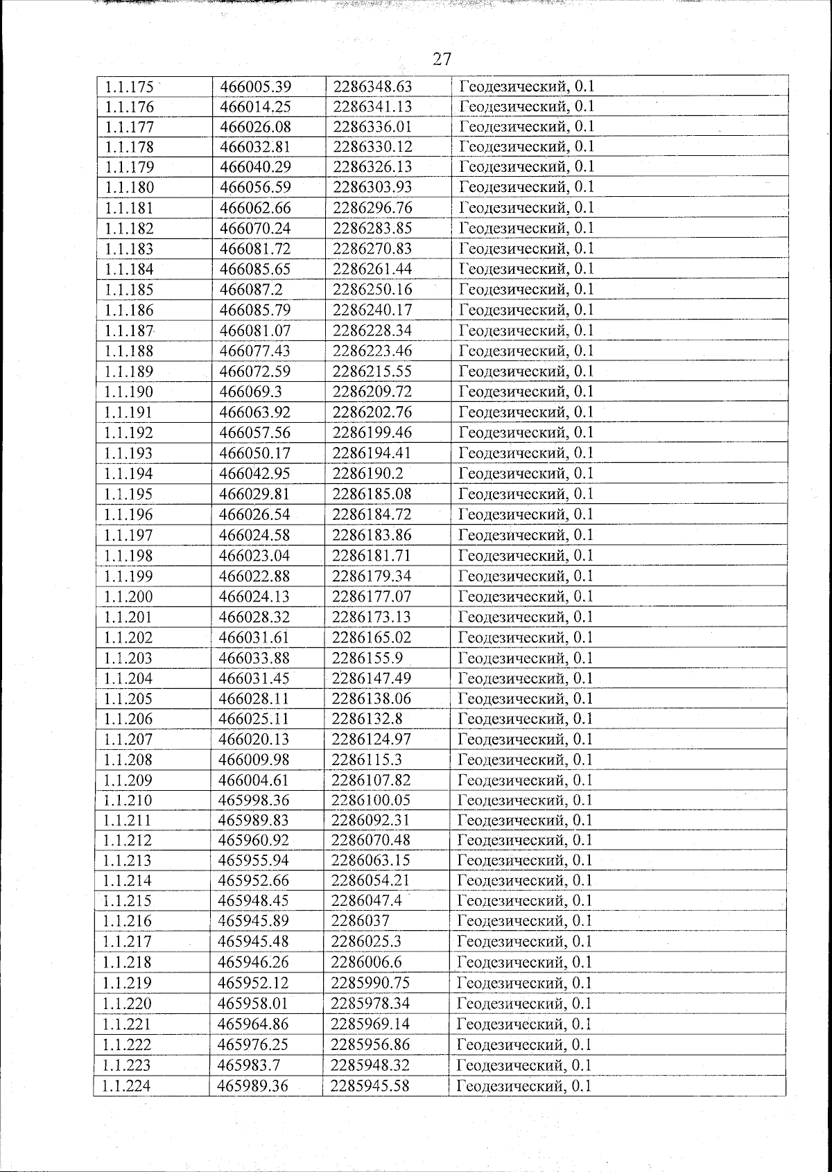
"О внесении изменений в приказ Министерства природных ресурсов, лесного хозяйства и экологии Пермского края от 8 февраля 2017 г. № СЭД-30-01-02-163 "Об утверждении положений об особо охраняемых природных территориях регионального значения Березовского муниципального района Пермского края"
(Зарегистрирован 16.09.2025 № 30-01-02-1043)
Номер опубликования: 5901202509170001
Дата опубликования: 17.09.2025
Страница №28 из 36:
Увеличить