Официальное опубликование правовых актов
ОФИЦИАЛЬНОЕ ОПУБЛИКОВАНИЕ
Приказ Министерства природных ресурсов, лесного хозяйства и экологии Пермского края от 28.01.2026 № 30-01-02-52
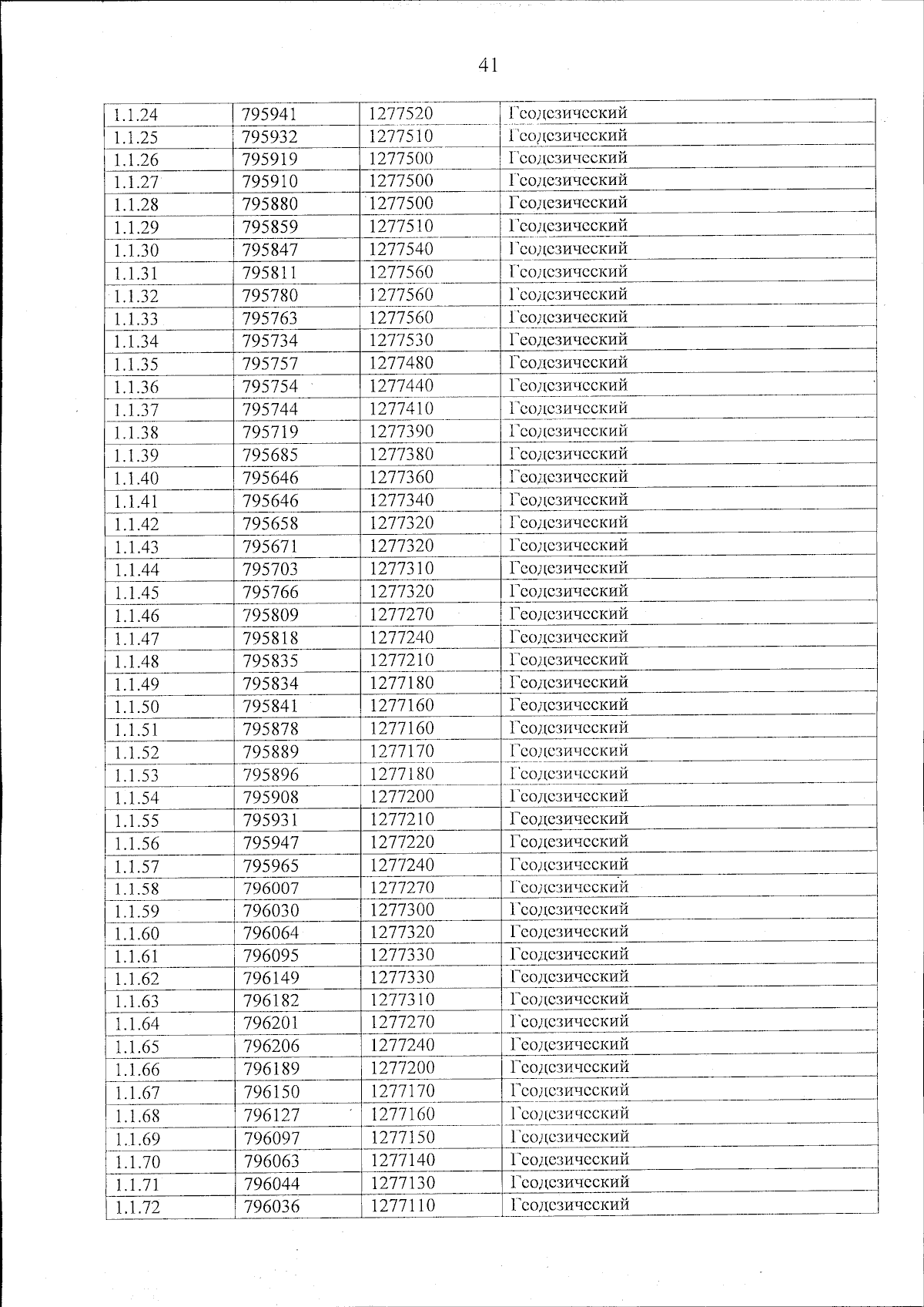
"О внесении изменений в приказ Министерства природных ресурсов, лесного хозяйства и экологии Пермского края от 1 февраля 2017 г. № СЭД-30-01-02-126 "Об утверждении положений об особо охраняемых природных территориях регионального значения Гайнского муниципального района Пермского края"
(Зарегистрирован 28.01.2026 № 30-01-02-52)
Номер опубликования: 5901202601290001
Дата опубликования: 29.01.2026
Страница №42 из 44:
Увеличить