Официальное опубликование правовых актов
ОФИЦИАЛЬНОЕ ОПУБЛИКОВАНИЕ
Приказ Министерства по управлению имуществом и градостроительной деятельности Пермского края от 26.02.2026 № 31-02-1-4-325
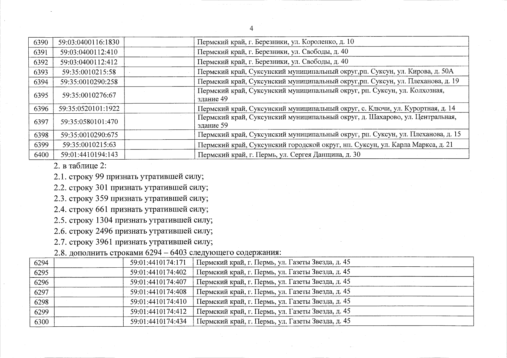
"О внесении изменений в приложение к приказу Министерства по управлению имуществом и градостроительной деятельности Пермского края от 28 ноября 2025 г. № 31-02-1-4-3466 "Об определении на 2026 год перечня объектов недвижимого имущества, в отношении которых налоговая база определяется как кадастровая стоимость"
(Зарегистрирован 26.02.2026 № 31-02-1-4-325)
Номер опубликования: 5901202602260001
Дата опубликования: 26.02.2026
Страница №4 из 8:
Увеличить