Официальное опубликование правовых актов
ОФИЦИАЛЬНОЕ ОПУБЛИКОВАНИЕ
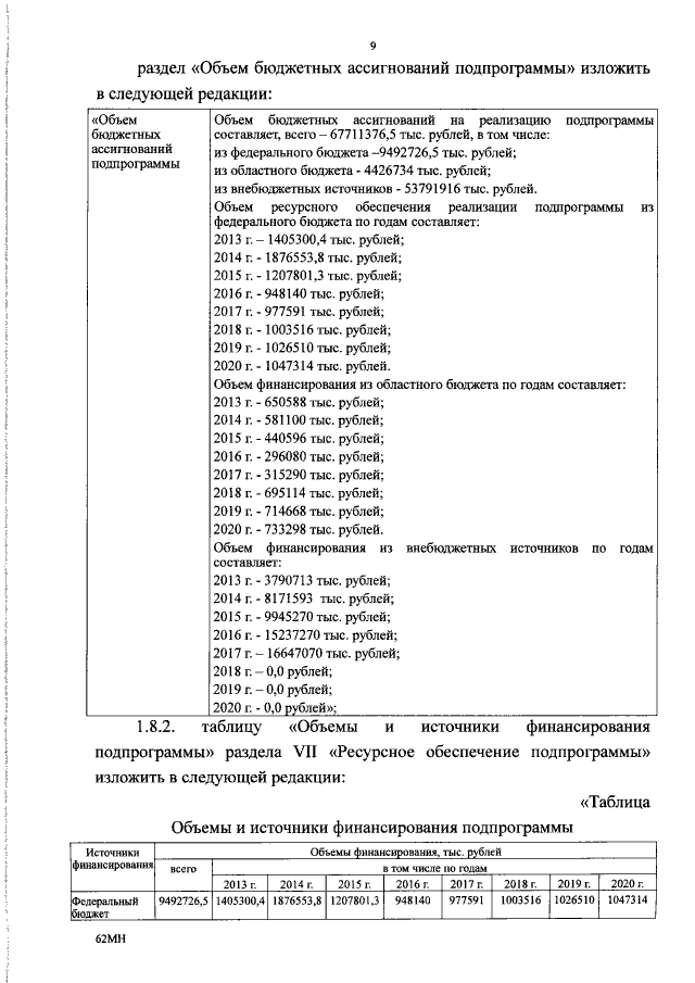
Постановление Администрации Псковской области от 06.03.2015 № 107
"О внесении изменений в Государственную программу "Развитие сельского хозяйства Псковской области на 2013-2020 годы"
Номер опубликования: 6000201503130011
Дата опубликования: 13.03.2015
Страница №9 из 148:
Увеличить