Официальное опубликование правовых актов
ОФИЦИАЛЬНОЕ ОПУБЛИКОВАНИЕ
Постановление Псковского областного Собрания депутатов от 28.04.2015 № 1144
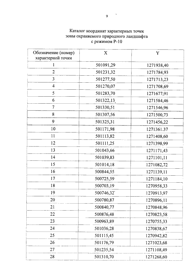
"Об утверждении границ зон охраны, особых режимов использования земель в границах территорий зон охраны и требований к градостроительным регламентам в границах зон охраны объекта культурного наследия федерального значения "Церковь Жен Мироносиц, XV в. и часовни XVI-XVII вв."
Номер опубликования: 6000201504290014
Дата опубликования: 29.04.2015
Страница №11 из 31:
Увеличить