Официальное опубликование правовых актов
ОФИЦИАЛЬНОЕ ОПУБЛИКОВАНИЕ
Постановление Администрации Псковской области от 17.07.2015 № 333
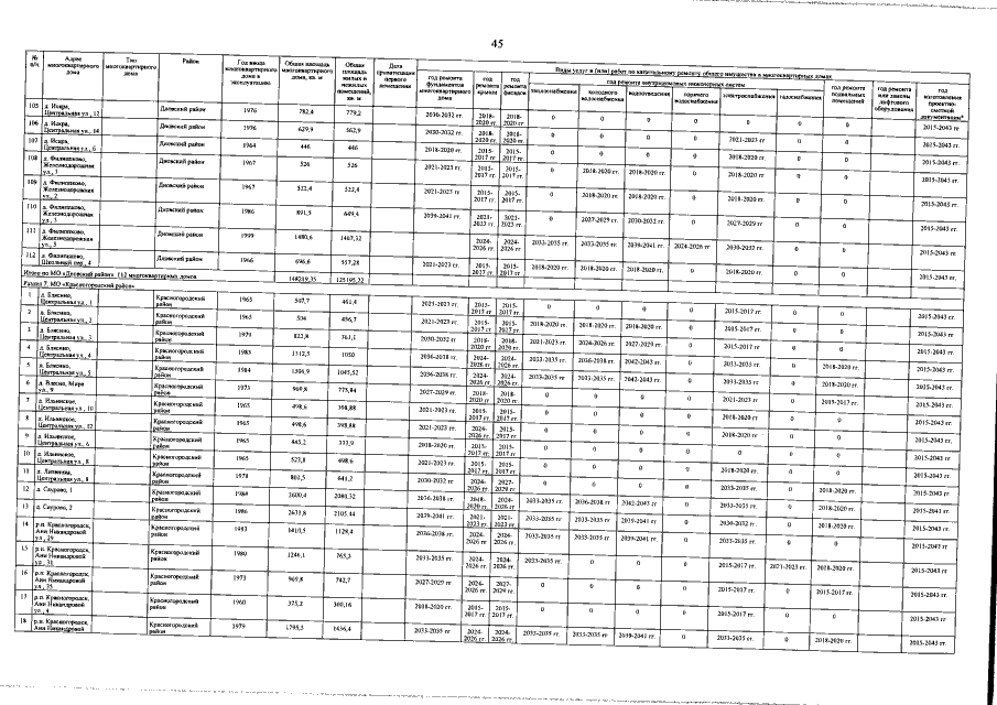
"О внесении изменения в Региональную программу капитального ремонта общего имущества в многоквартирных домах, расположенных на территории Псковской области, на 2014-2043 годы"
Номер опубликования: 6000201507210002
Дата опубликования: 21.07.2015
Страница №46 из 176:
Увеличить