Официальное опубликование правовых актов
ОФИЦИАЛЬНОЕ ОПУБЛИКОВАНИЕ
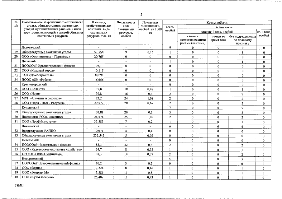
Указ Губернатора Псковской области от 30.07.2015 № 47-УГ
"Об утверждении лимитов и квот добычи охотничьих ресурсов на территории Псковской области на период с 01 августа 2015 года до 01 августа 2016 года"
Номер опубликования: 6000201508050002
Дата опубликования: 05.08.2015
Страница №20 из 33:
Увеличить