Официальное опубликование правовых актов
ОФИЦИАЛЬНОЕ ОПУБЛИКОВАНИЕ
Постановление Администрации Псковской области от 23.03.2017 № 138
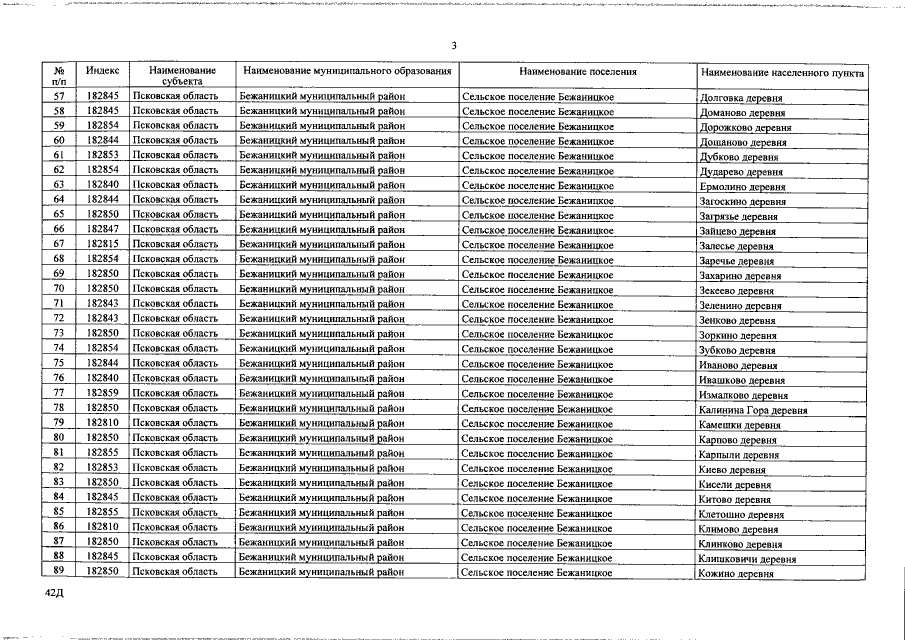
"Об утверждении Перечня отдаленных или труднодоступных местностей на территории Псковской области, где организации и индивидуальные предприниматели могут осуществлять наличные денежные расчеты и (или) расчеты с использованием платежных карт без применения контрольно-кассовой техники"
Номер опубликования: 6000201703280003
Дата опубликования: 28.03.2017
Страница №5 из 251:
Увеличить